Suppr超能文献

超越单极静电在调节内在无序蛋白质构象中的作用。

Beyond monopole electrostatics in regulating conformations of intrinsically disordered proteins.

作者信息

Phillips Michael, Muthukumar Murugappan, Ghosh Kingshuk

机构信息

Department of Physics and Astronomy, University of Denver, Denver, CO 80208, USA.

Department of Polymer Science and Engineering, University of Massachusetts, Amherst, MA 01003, USA.

出版信息

PNAS Nexus. 2024 Aug 27;3(9):pgae367. doi: 10.1093/pnasnexus/pgae367. eCollection 2024 Sep.

Abstract

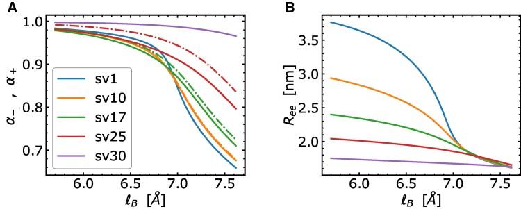
Conformations and dynamics of an intrinsically disordered protein (IDP) depend on its composition of charged and uncharged amino acids, and their specific placement in the protein sequence. In general, the charge (positive or negative) on an amino acid residue in the protein is not a fixed quantity. Each of the ionizable groups can exist in an equilibrated distribution of fully ionized state (monopole) and an ion-pair (dipole) state formed between the ionizing group and its counterion from the background electrolyte solution. The dipole formation (counterion condensation) depends on the protein conformation, which in turn depends on the distribution of charges and dipoles on the molecule. Consequently, effective charges of ionizable groups in the IDP backbone may differ from their chemical charges in isolation-a phenomenon termed charge-regulation. Accounting for the inevitable dipolar interactions, that have so far been ignored, and using a self-consistent procedure, we present a theory of charge-regulation as a function of sequence, temperature, and ionic strength. The theory quantitatively agrees with both charge reduction and salt-dependent conformation data of Prothymosin-alpha and makes several testable predictions. We predict charged groups are less ionized in sequences where opposite charges are well mixed compared to sequences where they are strongly segregated. Emergence of dipolar interactions from charge-regulation allows spontaneous coexistence of two phases having different conformations and charge states, sensitively depending on the charge patterning. These findings highlight sequence dependent charge-regulation and its potential exploitation by biological regulators such as phosphorylation and mutations in controlling protein conformation and function.

摘要

内在无序蛋白(IDP)的构象和动力学取决于其带电和不带电氨基酸的组成,以及它们在蛋白质序列中的特定位置。一般来说,蛋白质中氨基酸残基上的电荷(正电荷或负电荷)不是一个固定值。每个可电离基团都可以以完全电离状态(单极)和电离基团与其来自背景电解质溶液的抗衡离子之间形成的离子对(偶极)状态的平衡分布存在。偶极形成(抗衡离子凝聚)取决于蛋白质构象,而蛋白质构象又取决于分子上电荷和偶极的分布。因此,IDP主链中可电离基团的有效电荷可能与其孤立时的化学电荷不同——这种现象称为电荷调节。考虑到迄今为止一直被忽略的不可避免的偶极相互作用,并使用自洽程序,我们提出了一种作为序列、温度和离子强度函数的电荷调节理论。该理论在定量上与原胸腺素α的电荷减少和盐依赖性构象数据均相符,并做出了一些可检验的预测。我们预测,与相反电荷强烈分离的序列相比,在相反电荷充分混合的序列中,带电基团的电离程度较低。电荷调节产生的偶极相互作用允许具有不同构象和电荷状态的两个相自发共存,这敏感地取决于电荷模式。这些发现突出了序列依赖性电荷调节及其在生物调节剂(如磷酸化和突变)控制蛋白质构象和功能方面的潜在应用。

https://cdn.ncbi.nlm.nih.gov/pmc/blobs/045d/11382291/827e8c4a6bd6/pgae367f1.jpg

文献AI研究员

20分钟写一篇综述,助力文献阅读效率提升50倍。

立即体验

用中文搜PubMed

大模型驱动的PubMed中文搜索引擎

马上搜索

文档翻译

学术文献翻译模型,支持多种主流文档格式。

立即体验