Suppr超能文献

南方帝王蟹()和拟石蟹煮熟肉在冷藏储存期间的货架期。 你提供的原文中“南方帝王蟹”和“拟石蟹”后面括号里内容缺失,请补充完整以便更准确理解和翻译。

Shelf-life of cooked meat of southern king crab () and false king crab ( during refrigerated storage.

作者信息

Cocito Laura L, Permigiani Sabrina, Tapella Federico, Lattuca M Eugenia, Tomac Alejandra, Czerner Marina, Romero M Carolina

机构信息

Centro Austral de Investigaciones Científicas, CADIC, Houssay 200, V9410CAB Ushuaia, Tierra del Fuego, Argentina.

Consejo Nacional de Investigaciones Científicas y Técnicas (CONICET), Godoy Cruz 2290, C1425FQB, CABA, Argentina.

出版信息

Heliyon. 2024 Aug 17;10(16):e36475. doi: 10.1016/j.heliyon.2024.e36475. eCollection 2024 Aug 30.

Abstract

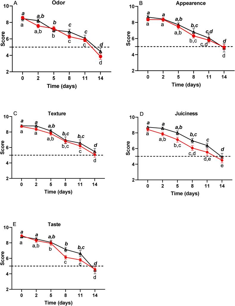
(SKC) and (FSKC) are economically important resources exploited in southern South America. The effect of refrigerated storage (4 °C on flake ice) on physico-chemical (pH, thiobarbituric reactive substances (TBARs), total volatile basic nitrogen (TVB-N), water holding capacity (WHC), and water content (WC)), microbiological (total viable mesophilic bacteria (TVMC), psychrotrophic bacteria (TVPC), spp, coliforms, enterobacteria, molds and yeasts) and sensory (odor, appearance, texture, juiciness, and taste) parameters was analyzed in the cooked SKC and FSKC . For each species, cooked from 36 animals were randomly distributed into 6 groups, corresponding to 0, 2, 5, 8, 11, and 14 days of storage. On each day, samples were taken for physico-chemical (n = 6), microbiological (n = 3), and sensory (n = 15) analyses. The pH values increased over time ( < 0.01 in both species), the TBARs only increased in FSKC ( = 0.008), whereas the TVB-N significantly rose only in SKC ( = 0.001). The WHC and the WC did not change over time for any of the king crab species ( > 0.05) in all cases. The presence of TVCM, TVCP, and spp. in both species was observed from day 0. Furthermore, pathogenic microorganisms (, coliforms, and enterobacteria) were not detected, and only the TVCP in SFKC reached the suggested microbial limit after 11 days. All sensory scores significantly decreased ( < 0.001) over time, but the quality of both king crab species remained acceptable until the 11th day. These findings suggest that the shelf-life of cooked was 11 and 8 days for SKC and SFKC, respectively, when stored at 4 °C with the presence of flake ice. These contributions consist of elucidating the shelf-life of these economically important seafood products and providing insights into their quality maintenance during storage.

摘要

南方蓝蟹(SKC)和雪蟹(FSKC)是南美洲南部开发的具有重要经济价值的资源。研究了冷藏(4℃,片状冰)对熟制SKC和FSKC的理化参数(pH值、硫代巴比妥酸反应物质(TBARs)、总挥发性碱性氮(TVB-N)、持水能力(WHC)和水分含量(WC))、微生物参数(总嗜温活菌数(TVMC)、嗜冷菌数(TVPC)、弧菌属、大肠菌群、肠杆菌、霉菌和酵母菌)以及感官参数(气味、外观、质地、多汁性和味道)的影响。对于每个品种,从36只动物身上获取的熟制蟹随机分为6组,分别对应储存0、2、5、8、11和14天。每天采集样本进行理化分析(n = 6)、微生物分析(n = 3)和感官分析(n = 15)。pH值随时间增加(两个品种均P < 0.01),TBARs仅在FSKC中增加(P = 0.008),而TVB-N仅在SKC中显著升高(P = 0.001)。在所有情况下,两种帝王蟹的WHC和WC均未随时间变化(P > 0.05)。从第0天起就观察到两种蟹中均存在TVCM、TVCP和弧菌属。此外,未检测到致病微生物(沙门氏菌、大肠菌群和肠杆菌),只有SFKC中的TVCP在11天后达到建议的微生物限量。所有感官评分均随时间显著下降(P < 0.001),但两种帝王蟹的品质在第11天之前仍可接受。这些结果表明,当在4℃片状冰存在下储存时,熟制SKC和SFKC的货架期分别为11天和8天。这些研究结果有助于阐明这些具有重要经济价值的海产品的货架期,并为其储存期间的质量维持提供见解。

https://cdn.ncbi.nlm.nih.gov/pmc/blobs/6c49/11388567/75f8fff640ba/gr1.jpg

文献AI研究员

20分钟写一篇综述,助力文献阅读效率提升50倍。

立即体验

用中文搜PubMed

大模型驱动的PubMed中文搜索引擎

马上搜索

文档翻译

学术文献翻译模型,支持多种主流文档格式。

立即体验