Suppr超能文献

心血管、肾脏和代谢疾病合并为一种名为心血管-肾脏-代谢综合征,并伴有新的风险预测方程。

Combination of Cardiovascular, Kidney, and Metabolic Diseases in a Syndrome Named Cardiovascular-Kidney-Metabolic, With New Risk Prediction Equations.

作者信息

Massy Ziad A, Drueke Tilman B

机构信息

Inserm Unit 1018, Team 5, CESP, Hôpital Paul Brousse, Paris-Sud University (UPS) and Versailles Saint-Quentin-en-Yvelines University (Paris-Ile-de-France-Ouest University, UVSQ), Villejuif, France.

Association pour l'Utilisation du Rein Artificiel dans la région parisienne (AURA), Paris, France.

出版信息

Kidney Int Rep. 2024 Jun 6;9(9):2608-2618. doi: 10.1016/j.ekir.2024.05.033. eCollection 2024 Sep.

Abstract

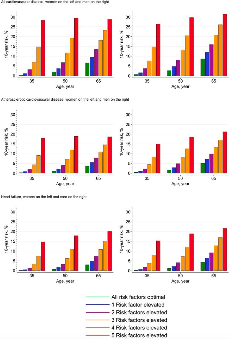
Associations of chronic kidney disease (CKD) with metabolic syndrome and cardiovascular disease (CVD) have long been recognized. Until recently, such associations were mainly limited to interrelationships between either heart and kidney, heart and metabolic syndrome, or metabolic syndrome and kidney. It is the merit of the American Heart Association (AHA) to have set up a work group of cardiologists, endocrinologists, and nephrologists for the purpose of combining all 3 disorders in a single entity, as an appreciation of their pathophysiological interrelatedness. To this end, they proposed the term cardiovascular-kidney-metabolic (CKM) syndrome, which reflects multidirectional relationships among metabolic risk factors, CKD, and the cardiovascular system. Following a consensus approach in defining CKM with 5 stages, the work group subsequently developed new risk prediction equations, named predicting risk of CVD events (PREVENT) equations, which included estimated glomerular filtration rate (eGFR) and albuminuria as variables in addition to traditional cardiovascular and metabolic factors. Despite several limitations, this development is a major step forward in cardiovascular risk prediction. Its clinical application should translate into earlier, more appropriate treatment and prevention of CKM syndrome.

摘要

慢性肾脏病(CKD)与代谢综合征及心血管疾病(CVD)之间的关联早已为人所知。直到最近,此类关联主要局限于心脏与肾脏、心脏与代谢综合征或代谢综合征与肾脏之间的相互关系。美国心脏协会(AHA)的功绩在于组建了一个由心脏病专家、内分泌专家和肾病专家组成的工作组,以便将这三种疾病合并为一个单一实体,因为认识到它们在病理生理上的相互关联性。为此,他们提出了心血管 - 肾脏 - 代谢(CKM)综合征这一术语,该术语反映了代谢危险因素、CKD和心血管系统之间的多向关系。在采用共识方法将CKM定义为5个阶段之后,该工作组随后开发了新的风险预测方程,称为预测CVD事件风险(PREVENT)方程,除了传统的心血管和代谢因素外,该方程还将估算肾小球滤过率(eGFR)和蛋白尿作为变量纳入其中。尽管存在一些局限性,但这一进展是心血管风险预测方面向前迈出的重要一步。其临床应用应转化为对CKM综合征更早、更恰当的治疗和预防。

https://cdn.ncbi.nlm.nih.gov/pmc/blobs/1524/11403032/8a95576f650e/gr1.jpg

文献AI研究员

20分钟写一篇综述,助力文献阅读效率提升50倍。

立即体验

用中文搜PubMed

大模型驱动的PubMed中文搜索引擎

马上搜索

文档翻译

学术文献翻译模型,支持多种主流文档格式。

立即体验