Suppr超能文献

为什么化疗药物在肺癌治疗中的药理前景可能与纳米结构最密切相关?铂类药物在非小细胞肺癌和小细胞肺癌治疗中的作用及其意想不到的可能相互作用。综述。

What is the Reason That the Pharmacological Future of Chemotherapeutics in the Treatment of Lung Cancer Could Be Most Closely Related to Nanostructures? Platinum Drugs in Therapy of Non-Small and Small Cell Lung Cancer and Their Unexpected, Possible Interactions. The Review.

机构信息

Doctoral School of Medical and Health Sciences, Faculty of Pharmacy, Collegium Medicum, Nicolaus, Copernicus University, Bydgoszcz, Poland.

Department of Physical Chemistry, Faculty of Pharmacy, Collegium Medicum, Nicolaus Copernicus University, Bydgoszcz, Poland.

出版信息

Int J Nanomedicine. 2024 Sep 14;19:9503-9547. doi: 10.2147/IJN.S469217. eCollection 2024.

Abstract

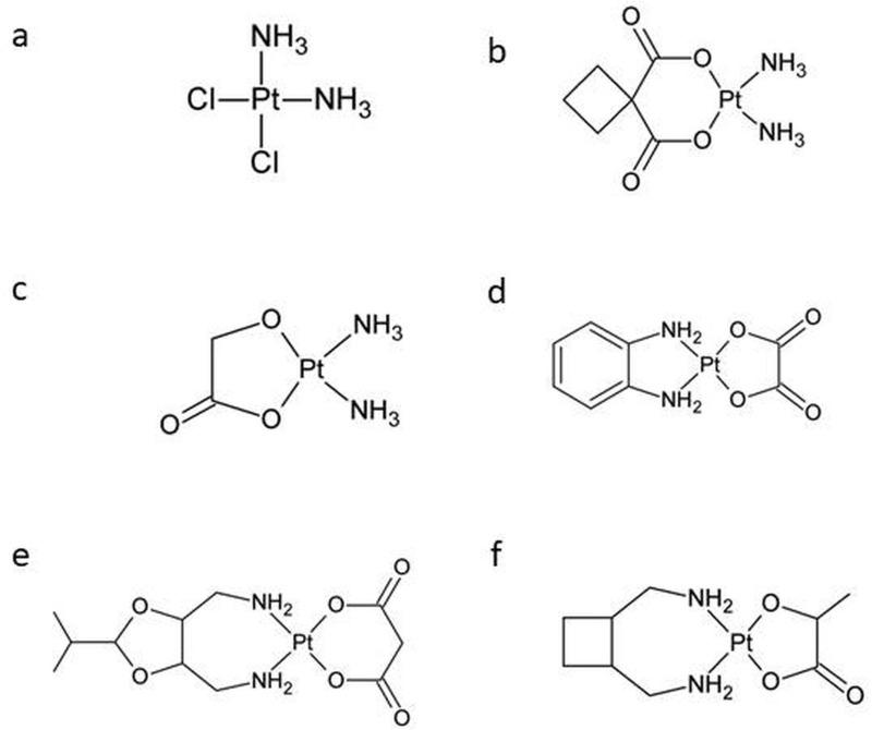
Over the course of several decades, anticancer treatment with chemotherapy drugs for lung cancer has not changed significantly. Unfortunately, this treatment prolongs the patient's life only by a few months, causing many side effects in the human body. It has also been proven that drugs such as Cisplatin, Carboplatin, Oxaliplatin and others can react with other substances containing an aromatic ring in which the nitrogen atom has a free electron group in its structure. Thus, such structures may have a competitive effect on the nucleobases of DNA. Therefore, scientists are looking not only for new drugs, but also for new alternative ways of delivering the drug to the cancer site. Nanotechnology seems to be a great hope in this matter. Creating a new nanomedicine would reduce the dose of the drug to an absolute minimum, and thus limit the toxic effect of the drug; it would allow for the exclusion of interactions with competitive compounds with a structure similar to nucleobases; it would also permit using the so-called targeted treatment and bypassing healthy cells; it would allow for the introduction of other treatment options, such as radiotherapy directly to the cancer site; and it would provide diagnostic possibilities. This article is a review that aims to systematize the knowledge regarding the anticancer treatment of lung cancer, but not only. It shows the clear possibility of interactions of chemotherapeutics with compounds competitive to the nitrogenous bases of DNA. It also shows the possibilities of using nanostructures as potential Platinum drug carriers, and proves that nanomedicine can easily become a new medicinal product in personalized medicine.

摘要

几十年来,肺癌的化疗药物治疗并没有显著改变。不幸的是,这种治疗只能使患者的生命延长几个月,同时给人体带来许多副作用。已经证明,顺铂、卡铂、奥沙利铂等药物可以与其他含有芳香环的物质发生反应,其中氮原子在其结构中具有自由电子基团。因此,这种结构可能对 DNA 的碱基具有竞争作用。因此,科学家们不仅在寻找新的药物,而且在寻找新的替代方法将药物递送到癌症部位。纳米技术似乎在这方面是一个巨大的希望。创建一种新的纳米医学将使药物剂量降至绝对最低,从而限制药物的毒性作用;它将允许排除与结构类似碱基的竞争性化合物的相互作用;它还将允许使用所谓的靶向治疗并绕过健康细胞;它将允许引入其他治疗选择,例如直接将放射疗法应用于癌症部位;并提供诊断可能性。本文是一篇综述,旨在使有关肺癌治疗的知识系统化,但不仅如此。它清楚地表明了化疗药物与竞争性化合物与 DNA 碱基的相互作用的可能性。它还展示了将纳米结构用作潜在的铂类药物载体的可能性,并证明了纳米医学可以很容易地成为个性化医学中的一种新药物。

https://cdn.ncbi.nlm.nih.gov/pmc/blobs/b26a/11410046/e9b4b078d693/IJN-19-9503-g0001.jpg

文献AI研究员

20分钟写一篇综述,助力文献阅读效率提升50倍。

立即体验

用中文搜PubMed

大模型驱动的PubMed中文搜索引擎

马上搜索

文档翻译

学术文献翻译模型,支持多种主流文档格式。

立即体验