Suppr超能文献

社区居住成年人严重认知障碍相关的合并症、用药情况、抑郁和身体表现评估。

Comorbidities, medications, depression, and physical performance measures associated with severe cognitive impairments in community-dwelling adults.

机构信息

Department of Health and Rehabilitation Sciences, Prince Sattam Bin Abdulaziz University, Alkharj, Saudi Arabia.

Department of Research and Innovation, King Abdullah International Medical Research Centre, Riyadh, Saudi Arabia.

出版信息

PLoS One. 2024 Sep 19;19(9):e0309765. doi: 10.1371/journal.pone.0309765. eCollection 2024.

Abstract

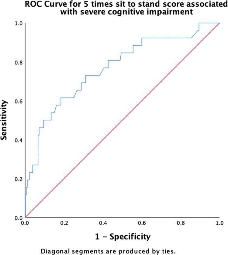
Cognitive impairment negatively impacts health, psychological, social, and economic domains. Cognitive impairment commonly affects physical functions in older adults, whereas these are deteriorated. However, the prevalence and associated factors of cognitive impairment among community-dwelling adults in Saudi Arabia have not been investigated yet. This study aimed to examine the prevalence of severe cognitive impairment and its associated factors in community-dwelling older adults in Saudi Arabia. This cross-sectional study involved adults aged ≥50 years. Demographic data and clinical data, including number of medications and body mass index (BMI), were collected. Cognitive impairment and depressive symptoms were measured using Arabic versions of the Montreal Cognitive Assessment (MoCA) and Patient Health Questionnaire-9 (PHQ-9), respectively. The participants were divided into severe cognitive impairment and mild cognitive impairment or normal cognitive function groups based on a score of <20 or ≥20, respectively, using the MoCA. Physical measures included dynamic gait index (DGI) scores, timed up-and-go (TUG), 5 times sit-to-stand (5XSST), functional reach test, and 6-minute walk test. A total of 206 participants (female: n = 96) were included. The prevalence of severe cognitive impairment in the community-dwelling older adults was 12.6%. The number of chronic conditions (odds ratio [OR]: 2.31, p<0.001), number of medications (OR: 1.36, p = 0.003), and depressive symptoms using PHQ-9 (OR: 1.11, p = 0.009) were significantly associated with severe cognitive impairment after adjustment for other covariates, including age, sex, and BMI. Based on the physical function measures, only the scores for DGI (OR: 0.86, p = 0.003), TUG (OR: 1.16, p = 0.035) and 5XSST (OR: 1.25, p <0.001) were significantly associated with severe cognitive impairment. This study revealed a high prevalence of severe cognitive impairment among community-dwelling adults in Saudi Arabia. Its major risk factors include depressive symptoms, number of chronic conditions and medications, and physical measures, including DGI, TUG, and 5XSST.

摘要

认知障碍对健康、心理、社会和经济领域都有负面影响。认知障碍通常会影响老年人的身体功能,而这些功能会恶化。然而,沙特阿拉伯社区居住的成年人中认知障碍的患病率及其相关因素尚未得到调查。本研究旨在探讨沙特阿拉伯社区居住的老年人中严重认知障碍的患病率及其相关因素。这项横断面研究涉及年龄在 50 岁及以上的成年人。收集了人口统计学数据和临床数据,包括用药数量和体重指数(BMI)。使用阿拉伯语版蒙特利尔认知评估(MoCA)和患者健康问卷-9(PHQ-9)分别测量认知障碍和抑郁症状。根据 MoCA 的评分,将参与者分为严重认知障碍组和轻度认知障碍或正常认知功能组,评分分别为<20 或≥20。身体测量包括动态步态指数(DGI)评分、计时起立行走测试(TUG)、5 次坐站测试(5XSST)、功能性伸展测试和 6 分钟步行测试。共有 206 名参与者(女性:n=96)被纳入研究。社区居住的老年人中严重认知障碍的患病率为 12.6%。患有多种慢性疾病(优势比[OR]:2.31,p<0.001)、服用多种药物(OR:1.36,p=0.003)和 PHQ-9 抑郁症状(OR:1.11,p=0.009)与严重认知障碍显著相关,在调整了其他协变量(包括年龄、性别和 BMI)后仍有统计学意义。根据身体功能测量,只有 DGI(OR:0.86,p=0.003)、TUG(OR:1.16,p=0.035)和 5XSST(OR:1.25,p<0.001)的评分与严重认知障碍显著相关。本研究显示,沙特阿拉伯社区居住的成年人中严重认知障碍的患病率较高。其主要危险因素包括抑郁症状、慢性疾病和药物数量以及 DGI、TUG 和 5XSST 等身体测量指标。

https://cdn.ncbi.nlm.nih.gov/pmc/blobs/b0b0/11412537/148360e2879e/pone.0309765.g001.jpg

文献AI研究员

20分钟写一篇综述,助力文献阅读效率提升50倍。

立即体验

用中文搜PubMed

大模型驱动的PubMed中文搜索引擎

马上搜索

文档翻译

学术文献翻译模型,支持多种主流文档格式。

立即体验