Suppr超能文献

CFTR校正剂鲁马卡托可逆转人神经母细胞瘤细胞中诱导的内质网应激。

The ER Stress Induced in Human Neuroblastoma Cells Can Be Reverted by Lumacaftor, a CFTR Corrector.

作者信息

Pecoraro Michela, Serra Adele, Pascale Maria, Franceschelli Silvia

机构信息

Department of Pharmacy, University of Salerno, Via Giovanni Paolo II, 84084 Fisciano, Salerno, Italy.

Ph.D. Program in Drug Discovery and Development, University of Salerno, 84084 Fisciano, Salerno, Italy.

出版信息

Curr Issues Mol Biol. 2024 Aug 24;46(9):9342-9358. doi: 10.3390/cimb46090553.

Abstract

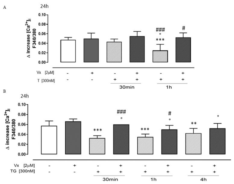
Most neurodegenerative diseases share a common etiopathogenesis, the accumulation of protein aggregates. An imbalance in homeostasis brought on by the buildup of misfolded proteins within the endoplasmic reticulum (ER) results in ER stress in the cell. Three distinct proteins found in the ER membrane-IRE1α, PERK, and ATF6-control the unfolded protein response (UPR), a signal transduction pathway that is triggered to restore normal physiological conditions. Buildup of misfolded proteins in ER lumen leads to a shunting of GRP78/BiP, thus triggering the UPR. PERK autophosphorylation leads to activation of ATF4, the transcription factor; finally, ATF6 activates the UPR's target genes, including GRP78/Bip. Accordingly, the UPR is a cellular reaction to an ER stress state that, if left unchecked for an extended period, results in apoptosis and irreversible damage. The identification of caspase 4, which is in the ER and is selectively activated by apoptotic stimuli caused by reticular stress, further demonstrated the connection between reticular stress and programed cell death. Moreover, oxidative stress and ER stress are linked. Oxidative stress is brought on by elevated quantities of radical oxygen species, both mitochondrial and cytosolic, that are not under the enzymatic regulation of superoxide dismutases, whose levels fall with increasing stress. Here, we evaluated the activity of Vx-809 (Lumacaftor), a drug used in cystic fibrosis, in SH-SY5Y neuronal cells, in which an ER stress condition was induced by Thapsigargin, to verify whether the drug could improve protein folding, suggesting its possible therapeutic use in proteinopathies, such as neurodegenerative diseases (NDs). Our data show that Vx-809 is involved in the significant reduction in protein produced under ER stress, particularly in the levels of Bip, ATF4, and ATF6 by Western blotting analysis, the reduction in ROS in the cytosol and mitochondria, and the reduction in the activation of the apoptotic pathway, measured by flow cytofluorimetry analysis and in restoring calcium homeostasis.

摘要

大多数神经退行性疾病都有一个共同的病因发病机制,即蛋白质聚集体的积累。内质网(ER)中错误折叠蛋白的积累导致体内平衡失衡,从而引发细胞内的内质网应激。在内质网膜中发现的三种不同蛋白质——肌醇需求酶1α(IRE1α)、蛋白激酶RNA样内质网激酶(PERK)和活化转录因子6(ATF6)——控制未折叠蛋白反应(UPR),这是一种被触发以恢复正常生理状态的信号转导途径。内质网腔中错误折叠蛋白的积累导致葡萄糖调节蛋白78(GRP78)/结合免疫球蛋白蛋白(BiP)的分流,从而触发UPR。PERK的自磷酸化导致转录因子ATF4的激活;最后,ATF6激活UPR的靶基因,包括GRP78/Bip。因此,UPR是细胞对内质网应激状态的一种反应,如果长期不受控制,会导致细胞凋亡和不可逆转的损伤。在内质网中且被网状应激引起的凋亡刺激选择性激活的半胱天冬酶4的鉴定,进一步证明了网状应激与程序性细胞死亡之间的联系。此外,氧化应激和内质网应激相互关联。氧化应激是由线粒体和胞质中数量增加的活性氧自由基引起的,这些自由基不受超氧化物歧化酶的酶促调节,而超氧化物歧化酶的水平会随着应激增加而下降。在此,我们评估了用于治疗囊性纤维化的药物VX-809(鲁马卡托)在SH-SY5Y神经细胞中的活性,在这些细胞中,毒胡萝卜素诱导了内质网应激状态,以验证该药物是否能改善蛋白质折叠,表明其在诸如神经退行性疾病(NDs)等蛋白病中的潜在治疗用途。我们的数据表明,通过蛋白质印迹分析,VX-809参与了内质网应激条件下产生的蛋白质的显著减少,特别是Bip、ATF4和ATF6水平的降低;通过流式细胞荧光分析测量,它降低了细胞质和线粒体中的活性氧(ROS),并减少了凋亡途径的激活,还恢复了钙稳态。

https://cdn.ncbi.nlm.nih.gov/pmc/blobs/f12c/11430679/8a9422f5c4d3/cimb-46-00553-g001.jpg

文献AI研究员

20分钟写一篇综述,助力文献阅读效率提升50倍。

立即体验

用中文搜PubMed

大模型驱动的PubMed中文搜索引擎

马上搜索

文档翻译

学术文献翻译模型,支持多种主流文档格式。

立即体验