Suppr超能文献

血红蛋白、白蛋白、淋巴细胞和血小板评分与癌症幸存者全因死亡率及特定病因死亡率风险的关联:1999 - 2018年美国国家健康与营养检查调查(NHANES)

Association of hemoglobin, albumin, lymphocyte, and platelet score with risk of all-cause and cause-specific mortality among cancer survivors: NHANES 1999-2018.

作者信息

Fu Jixin, Yue Xiaohan, Zou Yanan, Zhang Jian, Wang Xinjian, Zhang Dianliang

机构信息

Department of Gastrointestinal Surgery, Weihai Central Hospital, Qingdao University, Weihai, Shandong, China.

Department of Pediatric Surgery, Weihai Central Hospital, Qingdao University, Weihai, Shandong, China.

出版信息

Front Oncol. 2024 Sep 18;14:1402217. doi: 10.3389/fonc.2024.1402217. eCollection 2024.

Abstract

BACKGROUND

The HALP score, comprising hemoglobin, albumin, lymphocyte, and platelet levels, serves as an indicator of both nutritional and inflammatory status. However, its correlation with all-cause and cause-specific mortality among cancer survivors remains unclear. Therefore, this study aims to investigate the relationship between HALP scores and mortality outcomes in this population.

METHOD

We extracted cohort data spanning ten cycles (1999-2018) from the U.S. National Health and Nutrition Examination Survey (NHANES). Mortality rates, determined using the National Death Index (NDI) as of December 31, 2019, were assessed. Weighted multivariate logistic regression analyzed the association between HALP scores and cancer prevalence. Kaplan-Meier analyses and weighted multivariate-adjusted Cox analyses investigated the link between HALP scores and all-cause and cause-specific mortality in cancer survivors. Restricted cubic spline (RCS) analysis was employed to assess nonlinear relationships. Furthermore, multi-parametric subgroup analyses were conducted to ensure the robustness of the results.

RESULTS

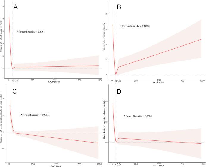
Our study included 41,231 participants, of whom 3,786 were cancer survivors (prevalence: 9.5%). Over a median follow-up of 91 months (range: 51-136), we observed 1,339 deaths, including 397 from cancer, 368 from cardio-cerebrovascular disease, and 105 from respiratory disease. Elevated HALP scores showed a consistent association with reduced cancer incidence (P for trend <0.001). In multivariable-adjusted Cox regression analyses, HALP scores were significantly inversely associated with all-cause mortality, cancer mortality, cardio-cerebrovascular disease mortality, and respiratory disease mortality in cancer survivors (P for trend < 0.05). Nonlinear relationships between HALP scores and all-cause and cause-specific mortality in cancer survivors were evident through RCS regression modeling (P for nonlinearity < 0.01). Kaplan-Meier analyses demonstrated that higher HALP scores were indicative of a poorer prognosis.

CONCLUSION

Our findings indicate a notable inverse correlation between HALP scores and both all-cause and cause-specific mortality among cancer survivors.

摘要

背景

HALP评分由血红蛋白、白蛋白、淋巴细胞和血小板水平组成,是营养和炎症状态的一个指标。然而,其与癌症幸存者全因死亡率和特定病因死亡率之间的相关性仍不明确。因此,本研究旨在调查该人群中HALP评分与死亡结局之间的关系。

方法

我们从美国国家健康与营养检查调查(NHANES)中提取了跨越十个周期(1999 - 2018年)的队列数据。使用截至2019年12月31日的国家死亡指数(NDI)确定死亡率。加权多变量逻辑回归分析了HALP评分与癌症患病率之间的关联。Kaplan - Meier分析和加权多变量调整Cox分析研究了HALP评分与癌症幸存者全因死亡率和特定病因死亡率之间的联系。采用受限立方样条(RCS)分析来评估非线性关系。此外,进行了多参数亚组分析以确保结果的稳健性。

结果

我们的研究纳入了41231名参与者,其中3786名是癌症幸存者(患病率:9.5%)。在中位随访91个月(范围:51 - 136个月)期间,我们观察到1339例死亡,其中397例死于癌症,368例死于心脑血管疾病,105例死于呼吸系统疾病。HALP评分升高与癌症发病率降低呈一致关联(趋势P < 0.001)。在多变量调整Cox回归分析中,HALP评分与癌症幸存者的全因死亡率、癌症死亡率、心脑血管疾病死亡率和呼吸系统疾病死亡率显著负相关(趋势P < 0.05)。通过RCS回归模型,HALP评分与癌症幸存者全因死亡率和特定病因死亡率之间的非线性关系明显(非线性P < 0.01)。Kaplan - Meier分析表明,较高的HALP评分预示着较差的预后。

结论

我们的研究结果表明,HALP评分与癌症幸存者的全因死亡率和特定病因死亡率之间存在显著的负相关。

https://cdn.ncbi.nlm.nih.gov/pmc/blobs/8fea/11445657/c866d885a6f5/fonc-14-1402217-g001.jpg

文献AI研究员

20分钟写一篇综述,助力文献阅读效率提升50倍。

立即体验

用中文搜PubMed

大模型驱动的PubMed中文搜索引擎

马上搜索

文档翻译

学术文献翻译模型,支持多种主流文档格式。

立即体验