Suppr超能文献

在观察性研究中对因寻求医疗行为和医疗保健可及性导致的混杂因素进行量化与调整。

Quantifying and Adjusting for Confounding From Health-Seeking Behavior and Health Care Access in Observational Research.

作者信息

Graham Sophie, Walker Jemma L, Andrews Nick, Hulme William J, Nitsch Dorothea, Parker Edward P K, McDonald Helen I

机构信息

Faculty of Epidemiology and Population Health, London School of Hygiene and Tropical Medicine, London, UK.

Health Protection Research Unit in Vaccines and Immunisation, National Institute for Health and Care Research, London, UK.

出版信息

Open Forum Infect Dis. 2024 Oct 23;11(10):ofae598. doi: 10.1093/ofid/ofae598. eCollection 2024 Oct.

Abstract

BACKGROUND

Health-seeking behavior and health care access (HSB/HCA) are recognized confounders in many observational studies but are not directly measurable in electronic health records. We used proxy markers of HSB/HCA to quantify and adjust for confounding in observational studies of influenza and COVID-19 vaccine effectiveness (VE).

METHODS

This cohort study used primary care data prelinked to secondary care and death data in England. We included individuals aged ≥66 years on 1 September 2019 and assessed influenza VE in the 2019-2020 season and early COVID-19 VE (December 2020-March 2021). VE was estimated with sequential adjustment for demographics, comorbidities, and 14 markers of HSB/HCA. Influenza vaccination in the 2019-2020 season was also considered a negative control exposure against COVID-19 before COVID-19 vaccine rollout.

RESULTS

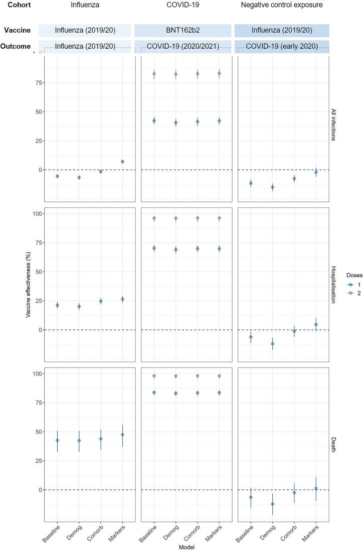
We included 1 991 284, 1 796 667, and 1 946 943 individuals in the influenza, COVID-19, and negative control exposure populations, respectively. Markers of HSB/HCA were positively correlated with influenza and COVID-19 vaccine uptake. For influenza, adjusting for HSB/HCA markers in addition to demographics and comorbidities increased VE against influenza-like illness from -1.5% (95% CI, -3.2% to .1%) to 7.1% (95% CI, 5.4%-8.7%) with a less apparent trend for more severe outcomes. For COVID-19, adjusting for HSB/HCA markers did not change VE estimates against infection or severe disease (eg, 2 doses of BNT162b2 against infection: 82.8% [95% CI, 78.4%-86.3%] to 83.1% [95% CI, 78.7%-86.5%]). Adjusting for HSB/HCA markers removed bias in the negative control exposure analysis (-7.5% [95% CI, -10.6% to -4.5%] vs -2.1% [95% CI, -6.0% to 1.7%] before vs after adjusting for HSB/HCA markers).

CONCLUSIONS

Markers of HSB/HCA can be used to quantify and account for confounding in observational vaccine studies.

摘要

背景

在许多观察性研究中,就医行为和医疗保健可及性(HSB/HCA)被认为是混杂因素,但在电子健康记录中无法直接测量。我们使用HSB/HCA的替代指标来量化并调整流感和新冠疫苗有效性(VE)观察性研究中的混杂因素。

方法

这项队列研究使用了与英格兰二级医疗和死亡数据预先关联的初级医疗数据。我们纳入了2019年9月1日年龄≥66岁的个体,并评估了2019-2020季节的流感VE以及早期新冠VE(2020年12月至2021年3月)。通过对人口统计学、合并症以及14个HSB/HCA指标进行序贯调整来估计VE。2019-2020季节的流感疫苗接种在新冠疫苗推出之前也被视为针对新冠的阴性对照暴露。

结果

我们分别在流感、新冠和阴性对照暴露人群中纳入了1991284、1796667和1946943名个体。HSB/HCA指标与流感和新冠疫苗接种呈正相关。对于流感,除了人口统计学和合并症外,调整HSB/HCA指标使针对流感样疾病的VE从-1.5%(95%CI,-3.2%至0.1%)提高到7.1%(95%CI,5.4%-8.7%),对于更严重结局的趋势不太明显。对于新冠,调整HSB/HCA指标并未改变针对感染或重症疾病的VE估计值(例如,2剂BNT162b2针对感染:从82.8%[95%CI,78.4%-86.3%]变为83.1%[95%CI,78.7%-86.5%])。调整HSB/HCA指标消除了阴性对照暴露分析中的偏差(调整HSB/HCA指标之前为-7.5%[95%CI,-10.6%至-4.5%],之后为-2.1%[95%CI,-6.0%至1.7%])。

结论

HSB/HCA指标可用于量化并解释观察性疫苗研究中的混杂因素。

https://cdn.ncbi.nlm.nih.gov/pmc/blobs/c512/11518854/88e72dc0150e/ofae598f1.jpg

文献AI研究员

20分钟写一篇综述,助力文献阅读效率提升50倍。

立即体验

用中文搜PubMed

大模型驱动的PubMed中文搜索引擎

马上搜索

文档翻译

学术文献翻译模型,支持多种主流文档格式。

立即体验