Suppr超能文献

在农村实习期间,影响辅助卫生专业学生对与澳大利亚原住民合作信心提高的因素:一项前后测调查研究。

Influences on improved confidence among allied health students in working with Australian Indigenous people during a rural placement: a pre-post survey study.

机构信息

Western Australian Centre for Rural Health, School of Allied Health, The University of Western Australia (M315), 35 Stirling Highway, Perth, WA, 6009, Australia.

出版信息

BMC Med Educ. 2024 Nov 1;24(1):1246. doi: 10.1186/s12909-024-06207-2.

Abstract

BACKGROUND

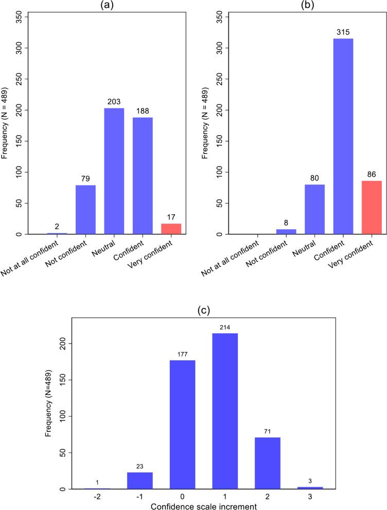
Together with addressing social determinants of health, culturally safe healthcare provision is essential for closing the health outcomes gap experienced by Aboriginal and Torres Strait Islander (Indigenous) Australians. Rural placements potentially provide students of the health professions with opportunities to enhance their knowledge and skills regarding cultural safety. We used rural placements data systematically collected from allied health students, including commencement- and end-of-placement questionnaire responses, to investigate the determinants of confidence in working with Indigenous people.

METHODS

The study comprised data from all students who provided survey data at both commencement and end of their first placement directly supervised by the administering University Department of Rural Health during the period 2019-2022. Five-point ordered responses to the question 'How confident do you feel about working with Aboriginal people?' were used to assess student and placement-related determinants of confidence (Confident/Very confident versus other) at baseline and increased confidence (≥ 1 point) during the placement using crude and adjusted multivariable robust Poisson regression.

RESULTS

Participating students (N = 489) were from diverse allied health disciplines (including pharmacy n = 94, 19.2%; chiropractic n= 66, 13.5%; physiotherapy n= 65, 13.3%; social work n = 59, 12.1%; and occupational therapy 58, 11.9%). Confidence in dealing with Aboriginal people was lower at commencement among females compared with males (adjusted relative risk [aRR] 0.65; 95% confidence interval [CI] 0.53-0.80), and higher among students of Australian rural origin compared with others (aRR 1.49; CI 1.22-1.83) and those who reported previous experience working with Indigenous people compared with those reporting none (aRR 1.40; CI 1.14-1.72). Placement attributes associated with increased confidence working with Indigenous people between placement commencement and end were interaction with Indigenous people within the placement (aRR 2.32; CI 1.24-4.34), placement model reflecting more structured academic supervision (aRR 1.18; CI 1.02-1.37), and placement length (aRR per additional day 1.002; CI 1.001-1.004). These associations were robust to modelling that accounted for a ceiling effect on increased confidence.

CONCLUSIONS

While influenced by students' demographic attributes and prior experiences, confidence of allied health students in working with Indigenous people is enhanced during rural placements, particularly through direct contact with Indigenous people.

摘要

背景

除了解决健康决定因素问题外,提供文化安全的医疗服务对于缩小澳大利亚原住民和托雷斯海峡岛民(土著)与其他人群之间的健康结果差距至关重要。农村实习为医疗专业的学生提供了增强他们在文化安全方面的知识和技能的机会。我们使用农村实习数据,这些数据是从农村健康管理大学部门直接监督的所有相关卫生专业学生的实习开始和结束时的问卷调查中收集的,以调查影响学生与土著人合作的信心的决定因素。

方法

该研究包括在 2019 年至 2022 年期间,所有提供调查数据的学生的数据,这些学生在第一个实习期间均由管理大学农村健康部门直接监督,并且在实习开始和结束时都提供了调查数据。使用五点有序反应来评估学生和实习相关因素(“非常有信心”/“有信心”与其他)对信心的决定因素(在基线时的信心/非常有信心与其他),并在实习期间使用未调整和调整后的多变量稳健泊松回归来评估学生的信心是否增加(≥1 点)。

结果

参与研究的学生(n=489)来自不同的辅助健康学科(包括药学 94 人,占 19.2%;整脊学 66 人,占 13.5%;物理疗法 65 人,占 13.3%;社会工作 59 人,占 12.1%;职业治疗 58 人,占 11.9%)。与男性相比,女性在实习开始时处理土著人问题的信心较低(调整后的相对风险 [aRR] 0.65;95%置信区间 [CI] 0.53-0.80),而与其他地区相比,澳大利亚农村地区的学生的信心较高(aRR 1.49;CI 1.22-1.83),与那些报告没有与土著人合作经验的学生相比,有过相关经验的学生的信心更高(aRR 1.40;CI 1.14-1.72)。在实习开始和结束之间,与增加与土著人合作的信心相关的实习属性包括实习中与土著人的互动(aRR 2.32;CI 1.24-4.34)、反映更结构化学术监督的实习模式(aRR 1.18;CI 1.02-1.37)和实习时长(每天增加 1 天的信心增加 aRR 1.002;CI 1.001-1.004)。这些关联在考虑到增加信心的上限效应的建模中是稳健的。

结论

尽管受到学生人口统计学特征和先前经验的影响,但辅助医疗专业学生与土著人合作的信心在农村实习期间得到增强,尤其是通过与土著人的直接接触。

https://cdn.ncbi.nlm.nih.gov/pmc/blobs/bf18/11529035/3970c483c0bf/12909_2024_6207_Fig1_HTML.jpg

文献AI研究员

20分钟写一篇综述,助力文献阅读效率提升50倍。

立即体验

用中文搜PubMed

大模型驱动的PubMed中文搜索引擎

马上搜索

文档翻译

学术文献翻译模型,支持多种主流文档格式。

立即体验