Suppr超能文献

原发性结直肠癌及配对的同步或异时性肝转移中T细胞的预后评估

Prognostic assessment of T-cells in primary colorectal cancer and paired synchronous or metachronous liver metastasis.

作者信息

Trailin Andriy, Ali Esraa, Ye Wenjing, Pavlov Sergii, Červenková Lenka, Vyčítal Ondřej, Ambrozkiewicz Filip, Hošek Petr, Daum Ondřej, Liška Václav, Hemminki Kari

机构信息

Laboratory of Translational Cancer Genomics, Biomedical Center, Faculty of Medicine in Pilsen, Charles University, Pilsen, Czech Republic.

出版信息

Int J Cancer. 2025 Mar 15;156(6):1282-1292. doi: 10.1002/ijc.35252. Epub 2024 Nov 7.

Abstract

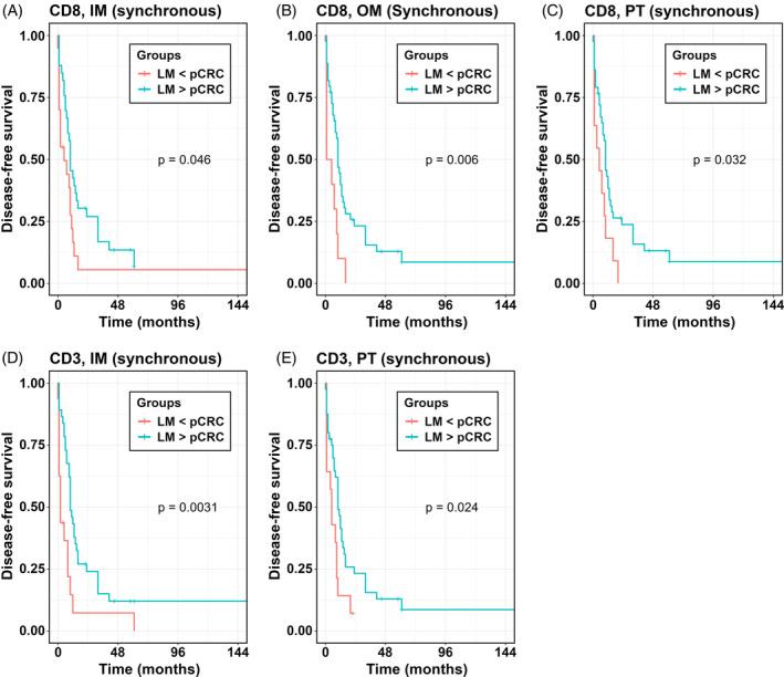
Prognostic value of T-cells between primary colorectal cancer (pCRC) and its paired synchronous and metachronous liver metastasis (LM) is underinvestigated and is the subject of the present study. We enrolled into this retrospective cohort study patients, who underwent resection of both pCRC and synchronous LM (N = 55) or metachronous LM (N = 44). After immunohistochemical staining for CD3+, CD8+, and CD45R0+ whole slides were scanned and T-cell densities were quantified using QuPath software in tumor center (TC), inner margin (IM), outer margin (OM), and peritumor zone (PT) of pCRC and LM. High densities of CD8+ T-cells in TC, OM and PT of synchronous LM were associated with longer disease-free survival (DFS). Greater densities of CD3+ T-cells in IM and PT and CD8+ T-cells in IM, OM and PT in synchronous LM over pCRC were associated with longer DFS. Greater densities of CD8+ T-cells in the TC and IM and CD3+ T-cells in the IM of pCRC were found in the metachronous over synchronous group. The first novel finding demonstrated that high density of CD8+ T cells in synchronous LM were associated with favorable outcome. The second finding of high CD8+ cell density in pCRC in metachronous over synchronous CRC may provide a mechanistic basis for the delay of metastatic spread. Both findings could be applied clinically with own reference values.

摘要

原发性结直肠癌(pCRC)与其配对的同步和异时性肝转移(LM)之间T细胞的预后价值尚未得到充分研究,是本研究的主题。我们纳入了这项回顾性队列研究的患者,他们接受了pCRC和同步LM(N = 55)或异时性LM(N = 44)的切除。对CD3 +、CD8 +和CD45R0 +进行免疫组织化学染色后,扫描全玻片,并使用QuPath软件对pCRC和LM的肿瘤中心(TC)、内边缘(IM)、外边缘(OM)和瘤周区域(PT)的T细胞密度进行定量。同步LM的TC、OM和PT中CD8 + T细胞的高密度与更长的无病生存期(DFS)相关。与pCRC相比,同步LM的IM和PT中CD3 + T细胞以及IM、OM和PT中CD8 + T细胞的密度更高与更长的DFS相关。在异时性组中,pCRC的TC和IM中CD8 + T细胞以及IM中CD3 + T细胞的密度高于同步组。第一个新发现表明,同步LM中CD8 + T细胞的高密度与良好的预后相关。异时性pCRC中CD8 +细胞密度高于同步性CRC的第二个发现可能为转移扩散延迟提供了机制基础。这两个发现都可以在临床上应用,具有各自的参考价值。

https://cdn.ncbi.nlm.nih.gov/pmc/blobs/6452/11736993/c679e93a670e/IJC-156-1282-g003.jpg

文献AI研究员

20分钟写一篇综述,助力文献阅读效率提升50倍。

立即体验

用中文搜PubMed

大模型驱动的PubMed中文搜索引擎

马上搜索

文档翻译

学术文献翻译模型,支持多种主流文档格式。

立即体验