Suppr超能文献

2 型糖尿病伴轻度认知功能障碍和胰岛素抵抗患者海马亚区的结构和功能改变:一项前瞻性研究。

Structural and functional alterations of the hippocampal subfields in T2DM with mild cognitive impairment and insulin resistance: A prospective study.

机构信息

The First Clinical Medical College of Gansu University of Chinese Medicine (Gansu Provincial Hospital), Gansu University of Chinese Medicine, Lanzhou, China.

School of Clinical Medicine, Ningxia Medical University, Yinchuan, China.

出版信息

J Diabetes. 2024 Nov;16(11):e70029. doi: 10.1111/1753-0407.70029.

Abstract

BACKGROUND

Type 2 diabetes mellitus (T2DM) is characterized by insulin resistance (IR) and is often accompanied by mild cognitive impairment (MCI). The detrimental effects of T2DM and IR on the hippocampus have been extensively demonstrated. Few studies have examined the effects of IR on structure and function of hippocampal subfields in T2DM-MCI patients.

METHOD

A total of 104 T2DM patients were recruited in this prospective study and divided into four groups (T2DM-MCI-higherIR, n = 17; T2DM-MCI-lowerIR, n = 32; T2DM-nonMCI-higherIR, n = 19; T2DM-nonMCI-lowerIR, n = 36). Structure and function MRI data were captured. Clinical variables and neuropsychological scores were determined for all participants. Hippocampal subfield volume and functional connectivity were compared among four groups. Partial correlation analysis was performed between imaging indicators, clinical variables, and neuropsychological scores in all patients.

RESULTS

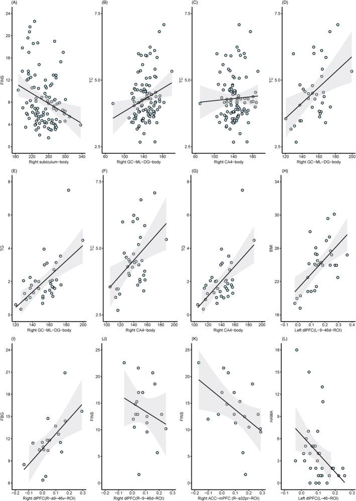
T2DM-MCI-higher IR group had the smallest volumes of bilateral hippocampal tail, right subiculum-body, right GC-ML-DG-body, and right CA4-body. IR in right hippocampal tail, right subiculum-body, and right GC-ML-DG-body exerted main effect. Furthermore, elevated functional connectivity was found between right subiculum-body and bilateral dorsolateral prefrontal cortex and right anterior cingulate-medial prefrontal cortex. Hippocampal subfield volume positively correlates with total cholesterol and triglycerides and negatively correlates with fasting insulin.

CONCLUSION

The present study found that T2DM-MCI patients have structural and functional alterations in hippocampal subfields, and IR is a negative factor influencing the alteration of hippocampal subfields volume. These findings support the importance of IR in T2DM-MCI patients and might be potential neuroimaging biomarkers of cerebral impairment in T2DM-MCI patients.

摘要

背景

2 型糖尿病(T2DM)的特征是存在胰岛素抵抗(IR),常伴有轻度认知障碍(MCI)。T2DM 和 IR 对海马的有害影响已得到广泛证实。很少有研究探讨 IR 对 T2DM-MCI 患者海马亚区结构和功能的影响。

方法

本前瞻性研究共纳入 104 例 T2DM 患者,分为 4 组(T2DM-MCI-高 IR 组,n=17;T2DM-MCI-低 IR 组,n=32;T2DM-非 MCI-高 IR 组,n=19;T2DM-非 MCI-低 IR 组,n=36)。采集结构和功能 MRI 数据,测定所有参与者的临床变量和神经心理学评分。比较 4 组海马亚区体积和功能连接。对所有患者的影像学指标、临床变量和神经心理学评分进行偏相关分析。

结果

T2DM-MCI-高 IR 组双侧海马尾部、右侧海马伞体部、右侧齿状回门部-颗粒细胞层-外侧部和右侧 CA4 体部体积最小。右侧海马尾部、右侧海马伞体部和右侧齿状回门部-颗粒细胞层-外侧部的 IR 有主要影响。此外,还发现右侧海马伞体部与双侧背外侧前额叶和右侧前扣带回-内侧前额叶之间功能连接增强。海马亚区体积与总胆固醇和甘油三酯呈正相关,与空腹胰岛素呈负相关。

结论

本研究发现 T2DM-MCI 患者存在海马亚区结构和功能改变,IR 是影响海马亚区体积改变的负性因素。这些发现支持 IR 在 T2DM-MCI 患者中的重要性,可能是 T2DM-MCI 患者脑损伤的潜在神经影像学标志物。

https://cdn.ncbi.nlm.nih.gov/pmc/blobs/4464/11560383/61d2a43720a2/JDB-16-e70029-g006.jpg

文献AI研究员

20分钟写一篇综述,助力文献阅读效率提升50倍。

立即体验

用中文搜PubMed

大模型驱动的PubMed中文搜索引擎

马上搜索

文档翻译

学术文献翻译模型,支持多种主流文档格式。

立即体验