Suppr超能文献

新冠病毒初次感染和突破性感染后血清免疫显性分析揭示了不同的变体特异性表位使用情况和免疫印记。

Profiling serum immunodominance following SARS-CoV-2 primary and breakthrough infection reveals distinct variant-specific epitope usage and immune imprinting.

作者信息

Seow Jeffrey, Jefferson George C E, Keegan Michael D, Yau Yeuk, Snell Luke B, Doores Katie J

机构信息

Department of Infectious Diseases, School of Immunology & Microbial Sciences, King's College London, London, United Kingdom.

Centre for Clinical Infection and Diagnostics Research, Department of Infectious Diseases, Guy's and St Thomas' NHS Foundation Trust, London, United Kingdom.

出版信息

PLoS Pathog. 2024 Nov 18;20(11):e1012724. doi: 10.1371/journal.ppat.1012724. eCollection 2024 Nov.

Abstract

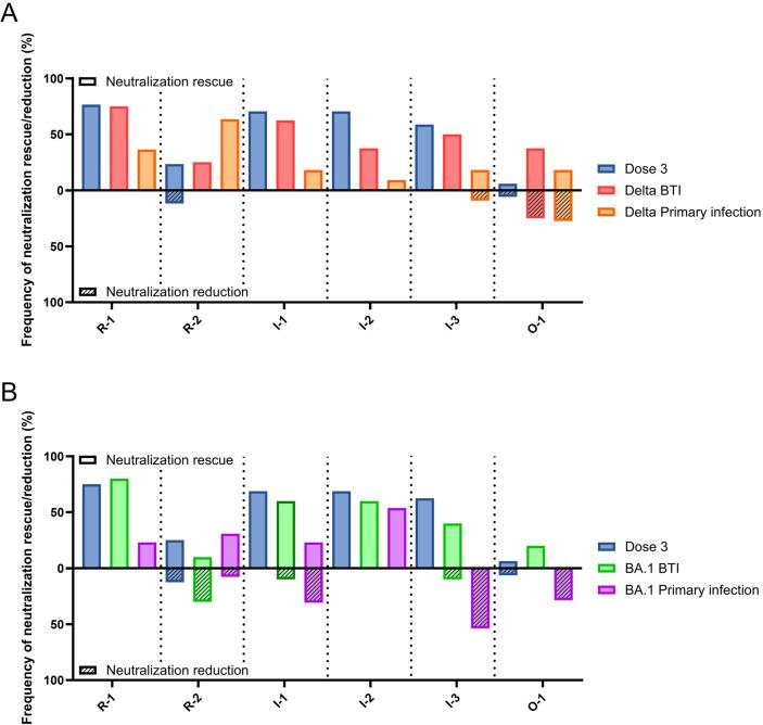
Over the course of the COVID-19 pandemic, variants have emerged with increased mutations and immune evasive capabilities. This has led to breakthrough infections (BTI) in vaccinated individuals, with a large proportion of the neutralizing antibody response targeting the receptor binding domain (RBD) of the SARS-CoV-2 Spike glycoprotein. Immune imprinting, where prior exposure of the immune system to an antigen can influence the response to subsequent exposures, and its role in a population with heterogenous exposure histories has important implications in future vaccine design. Here, we develop an accessible approach to map epitope immunodominance of the neutralizing antibody response in sera. By using a panel of mutant Spike proteins in a pseudotyped virus neutralization assay, we observed distinct epitope usage in convalescent donors infected during wave 1, or infected with the Delta, or BA.1 variants, highlighting the antigenic diversity of the variant Spikes. Analysis of longitudinal serum samples taken spanning 3 doses of COVID-19 vaccine and subsequent breakthrough infection, showed the influence of immune imprinting from the ancestral-based vaccine, where reactivation of existing B cells elicited by the vaccine resulted in the enrichment of the pre-existing epitope immunodominance. However, subtle shifts in epitope usage in sera were observed following BTI by Omicron sub-lineage variants. Antigenic distance of Spike, time after last exposure, and number of vaccine boosters may play a role in the persistence of imprinting from the vaccine. This study provides insight into RBD neutralizing epitope usage in individuals with varying exposure histories and has implications for design of future SARS-CoV-2 vaccines.

摘要

在新冠疫情期间,出现了具有更多突变和免疫逃逸能力的变体。这导致了接种疫苗个体出现突破性感染(BTI),其中很大一部分中和抗体反应针对严重急性呼吸综合征冠状病毒2(SARS-CoV-2)刺突糖蛋白的受体结合域(RBD)。免疫印记是指免疫系统先前接触抗原会影响对后续接触的反应,其在具有不同接触史的人群中的作用对未来疫苗设计具有重要意义。在此,我们开发了一种可行的方法来绘制血清中中和抗体反应的表位免疫优势图谱。通过在假型病毒中和试验中使用一组突变刺突蛋白,我们观察到在第一波感染期间感染、感染德尔塔变体或BA.1变体的康复者供体中存在不同的表位使用情况,突出了变体刺突的抗原多样性。对跨越3剂新冠疫苗接种及随后突破性感染期间采集的纵向血清样本进行分析,显示了基于原始毒株的疫苗产生的免疫印记的影响,即疫苗引发的现有B细胞重新激活导致了预先存在的表位免疫优势的富集。然而,在奥密克戎亚谱系变体导致突破性感染后,观察到血清中表位使用存在细微变化。刺突蛋白的抗原距离、最后一次接触后的时间以及疫苗加强针的次数可能在疫苗印记的持续存在中起作用。这项研究深入了解了不同接触史个体中RBD中和表位的使用情况,并对未来SARS-CoV-2疫苗的设计具有启示意义。

https://cdn.ncbi.nlm.nih.gov/pmc/blobs/60e8/11611254/b0e5c8476a19/ppat.1012724.g001.jpg

文献AI研究员

20分钟写一篇综述,助力文献阅读效率提升50倍。

立即体验

用中文搜PubMed

大模型驱动的PubMed中文搜索引擎

马上搜索

文档翻译

学术文献翻译模型,支持多种主流文档格式。

立即体验