Suppr超能文献

非那佐辛的CYP介导代谢体外评估及非那佐辛与氟伏沙明在健康绝经后吸烟者和非吸烟者中的药代动力学相互作用

In Vitro Evaluation of CYP-Mediated Metabolism of Fezolinetant and Pharmacokinetic Interaction Between Fezolinetant and Fluvoxamine in Healthy Postmenopausal Smokers and Nonsmokers.

作者信息

Iwai Megumi, Nielsen Jace, Miyagawa Mayuko, Patton Melanie, Bonate Peter L, Wang Xuegong, Wojtkowski Tomasz, Sinn Angela, Huang Jiayin

机构信息

Astellas Pharma Global Development, Inc., Northbrook, IL, USA.

Astellas Pharma, Inc., Tokyo, Japan.

出版信息

J Clin Pharmacol. 2025 Apr;65(4):508-519. doi: 10.1002/jcph.6157. Epub 2024 Nov 19.

Abstract

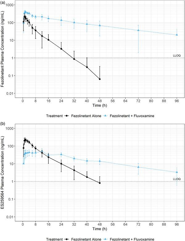
Fezolinetant is an oral, nonhormonal, neurokinin 3 receptor antagonist treatment option for moderate to severe vasomotor symptoms associated with menopause. An in vitro study using human recombinant cytochrome P450 (CYP) enzymes and human liver microsomes showed that fezolinetant is metabolized to its major but inactive metabolite, ES259564, predominantly through CYP1A2, with minor contributions from CYP2C9 and CYP2C19. The clinical impact of CYP1A2 inhibition and induction on single-dose pharmacokinetics of fezolinetant was assessed in an open-label, single-sequence, phase 1 study in healthy postmenopausal women, where the impact of fluvoxamine, a strong CYP1A2 inhibitor, and smoking, a moderate CYP1A2 inducer, were evaluated. In total, 18 participants, 9 of whom were smokers, were enrolled. Fezolinetant pharmacokinetics were evaluated after a single 30-mg dose on Day 1 and Day 7. Fluvoxamine 50 mg was administered as a single dose on Days 3 and 10 and twice daily from Days 4 to 9. Fluvoxamine increased geometric mean ratio of fezolinetant maximum plasma concentrations (C) and area under the curve from time of dosing extrapolated to infinity (AUC) to 182% and 939%, respectively, while ES259564 C decreased to 20.1% with no significant change in AUC. In smokers versus nonsmokers, when fezolinetant was administered alone, fezolinetant C and AUC decreased to 71.7% and 48.3%, respectively, while ES259564 C increased to 130.2% and AUC decreased to 81.8%. A single oral 30-mg dose of fezolinetant was considered safe and well tolerated when co-administered with fluvoxamine in healthy postmenopausal women.

摘要

非索利那坦是一种口服的、非激素的神经激肽3受体拮抗剂,用于治疗与绝经相关的中度至重度血管舒缩症状。一项使用人重组细胞色素P450(CYP)酶和人肝微粒体的体外研究表明,非索利那坦主要通过CYP1A2代谢为其主要但无活性的代谢物ES259564,CYP2C9和CYP2C19的贡献较小。在一项针对健康绝经后女性的开放标签、单序列、1期研究中,评估了CYP1A2抑制和诱导对非索利那坦单剂量药代动力学的临床影响,其中评估了强效CYP1A2抑制剂氟伏沙明和中度CYP1A2诱导剂吸烟的影响。总共招募了18名参与者,其中9名是吸烟者。在第1天和第7天单次服用30毫克剂量后评估非索利那坦的药代动力学。氟伏沙明50毫克在第3天和第10天单次给药,从第4天到第9天每天给药两次。氟伏沙明使非索利那坦的最大血浆浓度(C)和从给药时间外推至无穷大的曲线下面积(AUC)的几何平均比值分别增加到182%和939%,而ES259564的C降至20.1%,AUC无显著变化。在吸烟者与非吸烟者中,单独服用非索利那坦时,非索利那坦的C和AUC分别降至71.7%和48.3%,而ES259564的C增加到130.2%,AUC降至81.8%。在健康绝经后女性中,当与氟伏沙明联合给药时,单次口服30毫克剂量的非索利那坦被认为是安全且耐受性良好的。

https://cdn.ncbi.nlm.nih.gov/pmc/blobs/e1b5/11937985/f56698d8c1d4/JCPH-65-508-g002.jpg

文献AI研究员

20分钟写一篇综述,助力文献阅读效率提升50倍。

立即体验

用中文搜PubMed

大模型驱动的PubMed中文搜索引擎

马上搜索

文档翻译

学术文献翻译模型,支持多种主流文档格式。

立即体验