Suppr超能文献

二甲双胍和高葡萄糖的联合作用以 DAF-16/FOXO 非依赖性方式延长寿命:通过. 的癌症/糖尿病模型

The combination of metformin and high glucose increased longevity of a DAF-16/FOXO-independent manner: cancer/diabetic model via .

机构信息

Department of Molecular Biology and Genetics, Faculty of Science, Sivas Cumhuriyet University, Sivas, Türkiye.

Advanced Technology Research and Application Center (CUTAM), Sivas Cumhuriyet University, Sivas, Türkiye.

出版信息

Front Endocrinol (Lausanne). 2024 Nov 4;15:1435098. doi: 10.3389/fendo.2024.1435098. eCollection 2024.

Abstract

INTRODUCTION

Sedentary lifestyles and diets with high glycemic indexes are considered to be contributing factors to the development of obesity, type 2 diabetes in humans. Metformin, a biguanide medication commonly used to treat type 2 diabetes, has been observed to be associated with longevity; however, the molecular mechanisms underlying this observation are still unknown.

METHODS

The effects of metformin and high glucose, which have important roles in aging-related disease such as diabetes and cancer, were studied in lin-35 worms because they are associated with cancer-associated pRb function in mammals and have a tumour suppressor property.

RESULTS AND DISCUSSION

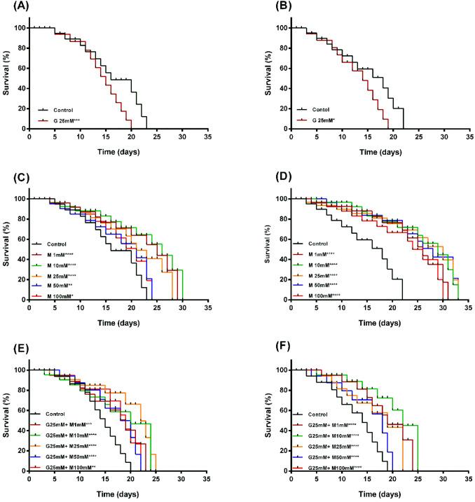
According to our results, the negative effect of high glucose on egg production of lin-35 worms was greater than that of N2 worms. High glucose shortened lifespan and increased body length and width in individuals of both strains. Metformin treatment alone extended the lifespan of N2 and lin-35 worms by reducing fertilization efficiency. However, when metformin was administered in the presence of high glucose, the lifespan of lin-35 worms was clearly longer compared to N2 worms. Additionally, we conclude that glucose and metformin in lin35 worms can extend life expectancy through a DAF-16/FOXO-independent mechanism. Furthermore, the results of this study will provide a new perspective on extending mammalian lifespan through the model organism .

摘要

简介

久坐的生活方式和高血糖指数的饮食被认为是导致肥胖和人类 2 型糖尿病的因素。二甲双胍是一种常用于治疗 2 型糖尿病的双胍类药物,已被观察到与长寿有关;然而,这种观察结果的分子机制尚不清楚。

方法

由于 lin-35 蠕虫与哺乳动物中与癌症相关的 pRb 功能有关,并具有肿瘤抑制特性,因此研究了二甲双胍和高葡萄糖(在糖尿病和癌症等与衰老相关的疾病中起重要作用)对 lin-35 蠕虫的影响。

结果与讨论

根据我们的结果,高葡萄糖对 lin-35 蠕虫产卵的负面影响大于 N2 蠕虫。高葡萄糖缩短了两种菌株个体的寿命,并增加了它们的体长和体宽。单独使用二甲双胍通过降低受精效率延长了 N2 和 lin-35 蠕虫的寿命。然而,当在高葡萄糖存在下给予二甲双胍时,lin-35 蠕虫的寿命明显长于 N2 蠕虫。此外,我们得出结论,葡萄糖和二甲双胍可以通过 DAF-16/FOXO 独立机制延长 lin35 蠕虫的预期寿命。此外,本研究的结果将为通过模式生物延长哺乳动物寿命提供新的视角。

https://cdn.ncbi.nlm.nih.gov/pmc/blobs/f22d/11570278/be77af9f34b6/fendo-15-1435098-g001.jpg

文献AI研究员

20分钟写一篇综述,助力文献阅读效率提升50倍。

立即体验

用中文搜PubMed

大模型驱动的PubMed中文搜索引擎

马上搜索

文档翻译

学术文献翻译模型,支持多种主流文档格式。

立即体验