Suppr超能文献

组装和分析山核桃的完整线粒体基因组,以深入了解 tRNA 基因的保守序列。

Assembly and analysis of the complete mitochondrial genome of Carya illinoinensis to provide insights into the conserved sequences of tRNA genes.

机构信息

Institute of Botany, Jiangsu Province and Chinese Academy of Sciences (Nanjing Botanical Garden Mem. Sun Yat-Sen), Nanjing, 210014, China.

Jiangsu Key Laboratory for the Research and Utilization of Plant Resources, Nanjing, 210014, China.

出版信息

Sci Rep. 2024 Nov 19;14(1):28571. doi: 10.1038/s41598-024-75324-1.

Abstract

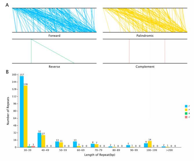
Carya illinoinensis is an economically important nut tree, and its chloroplast (cp.) genome has been reported; however, its mitochondrial (mt) genome remains unknown. In the present study, we assembled the first mt genome of C. illinoinensis. The circular mt genome of C. illinoinensis is 495,205 bp long, with 37 protein-coding genes(PCGs), 24 tRNA genes, and 3 rRNA genes. All the tRNAs could be folded into typical cloverleaf secondary structures, with lengths of 58-88 bp. A conserved U-U-C-x-A-x2 consensus nucleotide sequence was discovered in the Ψ-loops of tRNA sequences. In addition, 447 dispersed repeats were detected, as well as found 482 RNA editing sites and 9,960 codons in the mt genome. Furthermore, a total of 27 DNA sequences with a length of 43,277 bp were transferred from the cp. to the mt genome, and eight integrated cp-derived genes (trnL-CAA, trnV-GAC, trnD-GUC, trnW-CCA, trnN-GUU, trnH-GUG, trnM-CAU, and rps7) were identified. We also obtained 1,086 hits, including 364.023 kp of nuclear genome sequences, that were transferred to the mt genome. To determine the evolutionary position of C. illinoinensis, we conducted a phylogenetic analysis of the mitogenomes of C. illinoinensis and 14 other taxa. The results strongly suggested that C. illinoinensis and Fagus sylvatica formed a single clade with 100% bootstrap support. This study sequenced comprehensive data on the C. illinoinensis mitochondrial genome and provided insights into the conserved sequences of tRNA genes, which could facilitate evolutionary research in other Carya trees in the future.

摘要

美国山核桃是一种经济价值很高的坚果树种,其叶绿体(cp.)基因组已有报道;然而,其线粒体(mt.)基因组尚不清楚。在本研究中,我们组装了美国山核桃的第一个 mt 基因组。美国山核桃的圆形 mt 基因组长 495,205bp,包含 37 个蛋白编码基因(PCGs)、24 个 tRNA 基因和 3 个 rRNA 基因。所有的 tRNA 都可以折叠成典型的三叶草二级结构,长度为 58-88bp。在 tRNA 序列的 Ψ环中发现了保守的 U-U-C-x-A-x2 共识核苷酸序列。此外,还检测到 447 个分散重复序列,在 mt 基因组中发现了 482 个 RNA 编辑位点和 9,960 个密码子。此外,从 cp.转移到 mt 基因组的总共有 27 个长度为 43,277bp 的 DNA 序列,鉴定出 8 个整合的 cp 衍生基因(trnL-CAA、trnV-GAC、trnD-GUC、trnW-CCA、trnN-GUU、trnH-GUG、trnM-CAU 和 rps7)。我们还获得了 1,086 个与 mt 基因组转移相关的基因座,包括 364.023 kp 的核基因组序列。为了确定美国山核桃的进化位置,我们对美国山核桃和其他 14 个分类群的线粒体基因组进行了系统发育分析。结果强烈表明,美国山核桃和欧洲山毛榉形成了一个单一的分支,支持率为 100%。本研究对美国山核桃线粒体基因组进行了全面测序,并提供了对 tRNA 基因保守序列的深入了解,这将有助于未来对其他山核桃属树木的进化研究。

https://cdn.ncbi.nlm.nih.gov/pmc/blobs/5ea4/11576845/093fea3f1e23/41598_2024_75324_Fig1_HTML.jpg

文献AI研究员

20分钟写一篇综述,助力文献阅读效率提升50倍。

立即体验

用中文搜PubMed

大模型驱动的PubMed中文搜索引擎

马上搜索

文档翻译

学术文献翻译模型,支持多种主流文档格式。

立即体验