Suppr超能文献

含游离和皮克林乳液形式精油的乳清蛋白涂层对冷藏牛肉品质的评估

Evaluation of whey protein coating containing free and Pickering emulsion forms of . essential oil on quality of refrigerated beef.

作者信息

Saghari Vida, Jalali Hossein, Shariatifar Nabi, Ziaolhagh Seyedhamidreza

机构信息

Department of Food Science and Technology, Damghan Branch Islamic Azad University Damghan Iran.

Department of Environmental Health, Food Safety Division, School of Public Health Tehran University of Medical Sciences Tehran Iran.

出版信息

Food Sci Nutr. 2024 Sep 28;12(11):9187-9197. doi: 10.1002/fsn3.4454. eCollection 2024 Nov.

Abstract

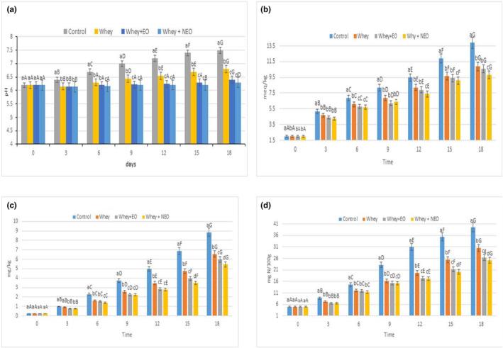
The purpose of the present research was to prepare a novel biodegradable coating of whey protein (whey) and essential oil of (forms of free (EO) and Pickering emulsion (NEO)) to improve the shelf life of beef. In this study, various microbiological, chemical, and sensory analyses were performed. The results showed that after 18 days, the highest and lowest microbiological counts were related to control samples and whey-NEO treatments, respectively. The total viable count (TVC) was 8.2 and 6.8 log CFU/g, the total psychrotrophic count (TPC) was 8.5 and 6.7 log CFU/g, and the lactic acid bacteria (LAB) count was 7.7 and 6.5 log CFU/g for control and whey-NEO treatments, respectively. Chemical analysis of whey-NEO treatment and control sample were 6.3 and 7.5 for pH, 9.8 and 13.9 meq/kg for PV (peroxide value), 5.45 and 8.85 mg/kg for TBARS (thiobarbituric acid reactive substances), and 25.1 and 39.4 mgN/100 g for TVB-N (total volatile basic nitrogen), respectively. The best result was associated with the whey-NEO treatment; consequently, coatings with whey and EO Pickering emulsion should be considered as a potential active coating in the meat industry.

摘要

本研究的目的是制备一种新型的可生物降解的乳清蛋白(乳清)和精油(游离形式(EO)和皮克林乳液形式(NEO))涂层,以延长牛肉的保质期。在本研究中,进行了各种微生物、化学和感官分析。结果表明,18天后,最高和最低微生物计数分别与对照样品和乳清-NEO处理有关。对照和乳清-NEO处理的总活菌数(TVC)分别为8.2和6.8 log CFU/g,总嗜冷菌数(TPC)分别为8.5和6.7 log CFU/g,乳酸菌(LAB)计数分别为7.7和6.5 log CFU/g。乳清-NEO处理和对照样品的化学分析结果分别为:pH值6.3和7.5,过氧化值(PV)9.8和13.9 meq/kg,硫代巴比妥酸反应性物质(TBARS)5.45和8.85 mg/kg,总挥发性盐基氮(TVB-N)25.1和39.4 mgN/100 g。最佳结果与乳清-NEO处理相关;因此,乳清和EO皮克林乳液涂层应被视为肉类行业中一种潜在的活性涂层。

https://cdn.ncbi.nlm.nih.gov/pmc/blobs/871f/11606856/ba2195521af9/FSN3-12-9187-g001.jpg

文献AI研究员

20分钟写一篇综述,助力文献阅读效率提升50倍。

立即体验

用中文搜PubMed

大模型驱动的PubMed中文搜索引擎

马上搜索

文档翻译

学术文献翻译模型,支持多种主流文档格式。

立即体验