Suppr超能文献

一个杂交品系能否突破小鼠行为进化中的选择限制?

Can a Hybrid Line Break a Selection Limit on Behavioral Evolution in Mice?

作者信息

Hiramatsu Layla, Careau Vincent, Garland Theodore

机构信息

Department of Evolution, Ecology, and Organismal Biology, University of California, Riverside, CA, USA.

Department of Biology, University of Ottawa, Ottawa, ON, Canada.

出版信息

Behav Genet. 2025 Jan;55(1):43-58. doi: 10.1007/s10519-024-10209-7. Epub 2024 Dec 5.

Abstract

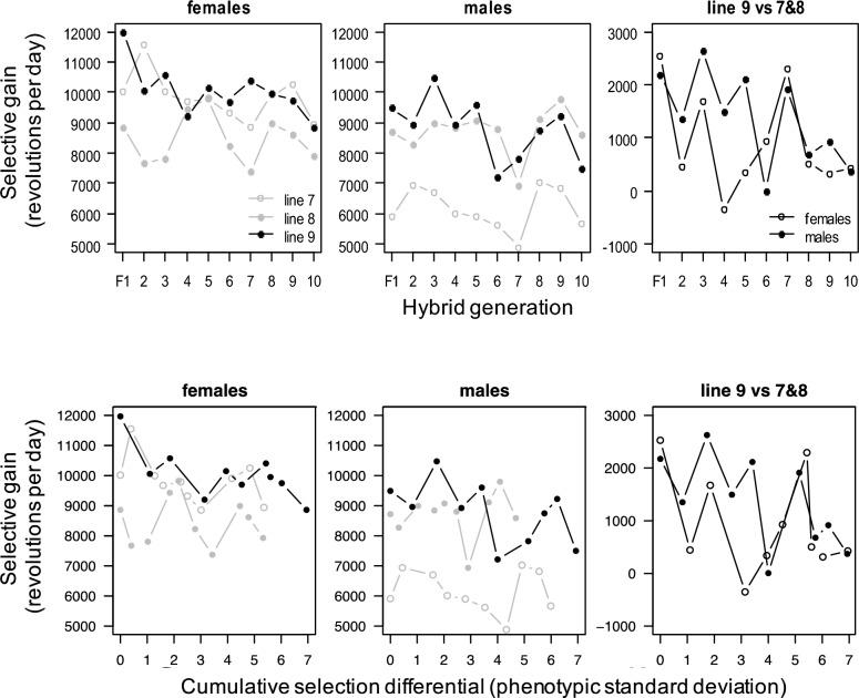
Artificial selection yielded four replicate high runner (HR) lines of mice that reached apparent selection limits (~ threefold increase in wheel revolutions per day vs. four control lines), despite maintenance of additive genetic variance. After 68 generations, we used animal models to test for changes in additive-genetic variances and covariance of the two measured components (average speed and duration) of running distance. We also attempted to break the selection limit by crossing two HR lines, then continuing directional selection on this hybrid line and on the two parental lines for nine generations. The genetic correlation between speed and duration was positive in the base population, but evolved to be negative in the two parental HR lines. Although heritability for both speed and duration (but not distance) increased in the hybrid line, their genetic correlation remained negative. Hybrid F mice from generation 68 parents showed heterosis for running distance, which was lost in subsequent generations, and the hybrid line did not exceed the limit. Both male and female hybrids ran faster than parental lines for most generations, but running duration was intermediate or reduced, reflecting their negative genetic correlation. The evolved genetic trade-off between speed and duration may explain the inability for the hybrid line to break the selection limit for distance run, despite renewed additive genetic variance for at least one of its component traits.

摘要

人工选择培育出了四个重复的小鼠高跑步能力(HR)品系,尽管保持了加性遗传方差,但这些品系似乎达到了选择极限(与四个对照品系相比,每天的转轮转动次数增加了约三倍)。在68代之后,我们使用动物模型来测试跑步距离的两个测量成分(平均速度和持续时间)的加性遗传方差和协方差的变化。我们还试图通过将两个HR品系杂交来打破选择极限,然后在这个杂交品系以及两个亲本品系上继续进行定向选择九代。在基础群体中,速度和持续时间之间的遗传相关性为正,但在两个亲本HR品系中演变为负。虽然杂交品系中速度和持续时间(但不是距离)的遗传力都增加了,但其遗传相关性仍然为负。来自第68代亲本的杂交F小鼠在跑步距离上表现出杂种优势,但在随后的几代中消失了,并且杂交品系没有超过极限。在大多数世代中,雄性和雌性杂种都比亲本品系跑得更快,但跑步持续时间处于中间水平或缩短,这反映了它们的负遗传相关性。速度和持续时间之间进化出的遗传权衡可能解释了杂交品系尽管其至少一个组成性状重新出现了加性遗传方差,但仍无法打破跑步距离选择极限的原因。

https://cdn.ncbi.nlm.nih.gov/pmc/blobs/5af9/11790750/2f08928e852c/10519_2024_10209_Fig1_HTML.jpg

文献AI研究员

20分钟写一篇综述,助力文献阅读效率提升50倍。

立即体验

用中文搜PubMed

大模型驱动的PubMed中文搜索引擎

马上搜索

文档翻译

学术文献翻译模型,支持多种主流文档格式。

立即体验