Suppr超能文献

-环烯醚萜类化合物:分布、化学分类学评价及生物活性——综述

-Iridoids: Occurrence, Chemophenetic Evaluation and Biological Activities-A Review.

作者信息

Frezza Claudio, Venditti Alessandro, De Vita Daniela, Guiso Marcella, Bianco Armandodoriano

机构信息

Dipartimento di Scienze della Vita, della Salute e delle Professioni Sanitarie, Università degli Studi Link Campus, 00165 Rome, Italy.

Independent Researcher, 00040 Rome, Italy.

出版信息

Molecules. 2024 Nov 28;29(23):5646. doi: 10.3390/molecules29235646.

Abstract

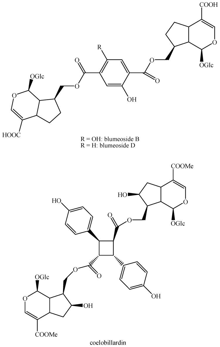
In this work, the first review paper about -iridoids was presented. In particular, their detailed occurrence, chemophenetic evaluation and biological activities were reported. To the best of our knowledge, two hundred and eighty-eight -iridoids have been evidenced so far, bearing different structural features, with the link between two -iridoids sub-units as the major one. Different types of base structures have been found, with catalpol, loganin, paederosidic acid, olesoide methyl ester, secoxyloganin and loganetin as the major ones. Even -irdioids with non-conventional structures like intra-cyclized and non-alkene six rings have been reported. Some of these compounds have been individuated as chemophenetic markers at different levels, such as cantleyoside, laciniatosides, sylvestrosides, GI-3, GI-5, oleonuezhenide, ()-aldosecologanin and centauroside. Only one hundred and fifty-nine -iridoids have been tested for their biological effects, including enzymatic, antioxidant, antimicrobial, antitumoral and anti-inflammatory. Sylvestroside I was the compound with the highest number of biological tests, whereas cantleyoside was the compound with the highest number of specific biological tests. -iridoids have not always shown activity, and when active, their effectiveness values have been both higher and lower than the positive controls, if present. All these aspects have been deeply discussed in this paper, which also shows some critical issues and even suggests possible arguments for future research, since there is still a lot unknown about -iridoids.

摘要

在这项工作中,发表了第一篇关于环烯醚萜类化合物的综述论文。特别报道了它们的详细分布、化学分类学评价及生物活性。据我们所知,迄今为止已证实有288种环烯醚萜类化合物,具有不同的结构特征,其中两个环烯醚萜亚基之间的连接为主要特征。已发现不同类型的基本结构,梓醇、马钱苷、异泽兰素酸、橄榄酯甲酯、裂环马钱苷和马钱苷元为主要结构。甚至还报道了具有非常规结构的环烯醚萜类化合物,如内环化和非烯烃六元环结构。其中一些化合物已被确定为不同层面的化学分类学标记,如坎特利苷、裂叶马钱苷、樟叶马钱苷、GI-3、GI-5、橄榄女贞苷、()-醛基裂环马钱苷和矢车菊苷。仅159种环烯醚萜类化合物进行了生物活性测试,包括酶活性、抗氧化、抗菌、抗肿瘤和抗炎活性。樟叶马钱苷I是进行生物活性测试次数最多的化合物,而坎特利苷是进行特定生物活性测试次数最多的化合物。环烯醚萜类化合物并非总是表现出活性,即使有活性,其效力值也高于或低于阳性对照(如果有)。本文对所有这些方面进行了深入讨论,还指出了一些关键问题,并提出了未来研究可能的方向,因为关于环烯醚萜类化合物仍有许多未知之处。

https://cdn.ncbi.nlm.nih.gov/pmc/blobs/abeb/11643030/886f4468d27a/molecules-29-05646-g001.jpg

文献AI研究员

20分钟写一篇综述,助力文献阅读效率提升50倍。

立即体验

用中文搜PubMed

大模型驱动的PubMed中文搜索引擎

马上搜索

文档翻译

学术文献翻译模型,支持多种主流文档格式。

立即体验