Suppr超能文献

与SYTL4相关的高风险模型预测急性髓系白血病预后不良,并与免疫浸润相关。

The high-risk model associated with SYTL4 predicts poor prognosis and correlates with immune infiltration in AML.

作者信息

Shi Ke, Li Dan, Peng Bo-Hui, Guo Qiang

机构信息

Department of Thoracic Surgery, Beilun District People's Hospital of Ningbo, Ningbo, China.

Department of Oncology, Taihe Hospital, Hubei University of Medicine, Shiyan, China.

出版信息

Biochem Biophys Rep. 2024 Nov 29;41:101859. doi: 10.1016/j.bbrep.2024.101859. eCollection 2025 Mar.

Abstract

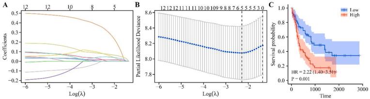
Acute myeloid leukemia (AML) currently lacks a definitive cure. Studies have highlighted the involvement of SYTL4 expression levels in neoplasms, yet its specific roles in AML remain unexplored in the literature. Utilizing the TCGA and XENA databases, this study investigated SYTL4 expression levels in AML and identified associations between SYTL4 overexpression and clinicopathological features, prognosis, and immune infiltration in AML patients through genomic analysis. ROC analysis demonstrated the diagnostic value of SYTL4 overexpression in AML. Kaplan-Meier survival, Cox regression, and Lasso analyses were employed to explore SYTL4-coexpressed long non-coding RNAs linked to AML patient prognosis, alongside the construction of nomograms and risk models. SYTL4 expression was significantly elevated in AML and correlated with FAB classification, cytogenetic risk, IDH1 R140 mutation, and NPM1 mutation in cancer patients. SYTL4 overexpression signaled a poor prognosis, serving as a risk indicator for assessing adverse outcomes in AML patients. SYTL4 expression levels also correlated with AML immune cell levels and markers. COX regression analysis revealed that LINC01700, CPNE8-AS1, HOXA10-AS, LINC00899, and SYTL4 influenced adverse AML prognosis. Patients in the high-risk group for these factors experienced significantly poor outcomes, which were closely associated with aDC, CD8 T cells, and TH17 cells. In summary, SYTL4 overexpression is linked to poor prognosis and immune infiltration in AML, with the constructed risk model intended as a prognostic evaluation tool for AML patients.

摘要

急性髓系白血病(AML)目前缺乏确切的治愈方法。研究强调了SYTL4表达水平在肿瘤中的作用,但其在AML中的具体作用在文献中仍未得到探索。本研究利用TCGA和XENA数据库,调查了AML中SYTL4的表达水平,并通过基因组分析确定了SYTL4过表达与AML患者临床病理特征、预后和免疫浸润之间的关联。ROC分析证明了SYTL4过表达在AML中的诊断价值。采用Kaplan-Meier生存分析、Cox回归分析和Lasso分析来探索与AML患者预后相关的SYTL4共表达长链非编码RNA,并构建列线图和风险模型。SYTL4在AML中的表达显著升高,且与癌症患者的FAB分类、细胞遗传学风险、IDH1 R140突变和NPM1突变相关。SYTL4过表达预示预后不良,可作为评估AML患者不良结局的风险指标。SYTL4表达水平还与AML免疫细胞水平和标志物相关。COX回归分析显示,LINC01700、CPNE8-AS1、HOXA10-AS、LINC00899和SYTL4影响AML的不良预后。这些因素的高危组患者预后明显较差,这与aDC、CD8 T细胞和TH17细胞密切相关。总之,SYTL4过表达与AML的不良预后和免疫浸润相关,构建的风险模型旨在作为AML患者的预后评估工具。

https://cdn.ncbi.nlm.nih.gov/pmc/blobs/bb89/11648810/a551c31b8e93/gr1.jpg

文献AI研究员

20分钟写一篇综述,助力文献阅读效率提升50倍。

立即体验

用中文搜PubMed

大模型驱动的PubMed中文搜索引擎

马上搜索

文档翻译

学术文献翻译模型,支持多种主流文档格式。

立即体验