Suppr超能文献

使用心电图DETERMINE评分预测急性心肌梗死后的主要不良心血管事件

Prediction of major adverse cardiovascular events following acute myocardial infarction using electrocardiogram DETERMINE score.

作者信息

Liu Zeyan, Cheng Jinglin, Zhou Shu, Li Xuexiang, Yang Min, Zhang Ye

机构信息

Department of Emergency Internal Medicine, Second Affiliated Hospital of Anhui Medical University, Hefei, China.

Chest Pain Center (CPC), Second Affiliated Hospital of Anhui Medical University, Hefei, China.

出版信息

BMC Cardiovasc Disord. 2024 Dec 19;24(1):705. doi: 10.1186/s12872-024-04409-6.

Abstract

BACKGROUND

Acute myocardial infarction (AMI) remains a major cause of mortality and morbidity globally, with a high incidence of major adverse cardiovascular events (MACE) post-primary percutaneous coronary intervention (PPCI). The DETERMINE score, derived from electrocardiographic (ECG) markers, has shown promise as a predictor of adverse outcomes, but its clinical utility requires further validation.

OBJECTIVE

To evaluate the predictive value of the DETERMINE score for MACE and provide early clinical warnings for high-risk patients.

METHODS

This bidirectional cohort study included AMI patients from the Second Affiliated Hospital of Anhui Medical University between 2019 and 2023. The training cohort comprised 545 patients between January 2019 and January 2023, while the validation cohort consisted of 122 patients between February 2023 and July 2023. The primary endpoint was MACE within one-year post-PPCI. The relationship between the DETERMINE score and MACE was analyzed using Cox regression, trend tests, and restricted cubic splines to assess linear and nonlinear associations. Patients were stratified into risk groups based on tertiles or optimal cutoffs, and Kaplan-Meier survival curves compared MACE incidence across groups. Predictive accuracy was evaluated through time-dependent C-index, ROC curves, decision curve analysis, and calibration, and compared to other prognostic scores, including the Selvester, GRACE, and SYNTAX scores, as well as left ventricular ejection fraction (LVEF). Subgroup analyses by sex, age, and culprit artery involvement were also conducted.

RESULTS

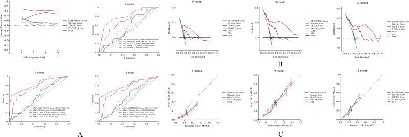
Cox multivariate regression indicated that the DETERMINE score was an independent risk factor for MACE (HR = 1.56, 95% CI 1.38-1.75, P < 0.001). Trend test and RCS showed a positive correlation and non-linear relationship between the DETERMINE score and MACE (P-trend < 0.001, P-overall < 0.001, P-nonlinear: 0.003). Kaplan-Meier survival analysis revealed that, in both the training and validation datasets, groups with a higher DETERMINE score showed a higher cumulative risk of MACE. The DETERMINE score outperformed traditional prognostic scores (Selvester, GRACE, SYNTAX) in terms of predictive accuracy, with an AUROC of 0.840 at 12 months in the training cohort. The score also provided a substantial clinical net benefit, particularly over longer follow-up periods. Subgroup analyses confirmed its predictive power across different demographics and clinical presentations.

CONCLUSION

The DETERMINE score has outstanding predictive power for MACE post-PPCI, which can guide the early identification of high-risk patients with poor prognosis of AMI in clinical practice.

摘要

背景

急性心肌梗死(AMI)仍是全球范围内死亡率和发病率的主要原因,在初次经皮冠状动脉介入治疗(PPCI)后主要不良心血管事件(MACE)的发生率很高。源自心电图(ECG)标志物的DETERMINE评分已显示出作为不良结局预测指标的前景,但其临床实用性需要进一步验证。

目的

评估DETERMINE评分对MACE的预测价值,并为高危患者提供早期临床预警。

方法

这项双向队列研究纳入了2019年至2023年期间安徽医科大学第二附属医院的AMI患者。训练队列包括2019年1月至2023年1月期间的545例患者,而验证队列由2023年2月至2023年7月期间的122例患者组成。主要终点是PPCI后一年内的MACE。使用Cox回归、趋势检验和受限立方样条分析DETERMINE评分与MACE之间的关系,以评估线性和非线性关联。根据三分位数或最佳临界值将患者分层为风险组,并通过Kaplan-Meier生存曲线比较各组的MACE发生率。通过时间依赖性C指数、ROC曲线、决策曲线分析和校准评估预测准确性,并与其他预后评分进行比较,包括Selvester、GRACE和SYNTAX评分,以及左心室射血分数(LVEF)。还进行了按性别、年龄和罪犯血管受累情况的亚组分析。

结果

Cox多因素回归表明,DETERMINE评分是MACE的独立危险因素(HR = 1.56,95%CI 1.38 - 1.75,P < 0.001)。趋势检验和RCS显示DETERMINE评分与MACE之间存在正相关和非线性关系(P趋势< 0.001,P总体< 0.001,P非线性:0.003)。Kaplan-Meier生存分析显示,在训练和验证数据集中,DETERMINE评分较高的组MACE累积风险较高。在预测准确性方面,DETERMINE评分优于传统预后评分(Selvester、GRACE、SYNTAX),训练队列中12个月时的AUROC为0.840。该评分还提供了显著的临床净效益,尤其是在较长的随访期内。亚组分析证实了其在不同人口统计学和临床表现中的预测能力。

结论

DETERMINE评分对PPCI后MACE具有出色的预测能力,可在临床实践中指导早期识别AMI预后不良的高危患者。

https://cdn.ncbi.nlm.nih.gov/pmc/blobs/563a/11658445/16a964cc31b4/12872_2024_4409_Fig1_HTML.jpg

文献AI研究员

20分钟写一篇综述,助力文献阅读效率提升50倍。

立即体验

用中文搜PubMed

大模型驱动的PubMed中文搜索引擎

马上搜索

文档翻译

学术文献翻译模型,支持多种主流文档格式。

立即体验