Suppr超能文献

一种辅酶A转移酶和酰基辅酶A脱氢酶在厌氧萘降解过程中转化2-(羧甲基)环己烷-1-羧基辅酶A 。

A CoA-Transferase and Acyl-CoA Dehydrogenase Convert 2-(Carboxymethyl)cyclohexane-1-Carboxyl-CoA During Anaerobic Naphthalene Degradation.

作者信息

Kong Yachao, Riebe Jan, Feßner Malte, Schaller Torsten, Wölper Christoph, Stappert Florian, Meckelmann Sven W, Krajnc Matthias, Weyrauch Philip, Schmitz Oliver J, Merten Christian, Niemeyer Jochen, Hu Xiaoke, Meckenstock Rainer U

机构信息

Key Laboratory of Coastal Biology and Bioresource Utilization, Yantai Institute of Coastal Zone Research, Chinese Academy of Sciences, Yantai, China.

Institute for Environmental Microbiology and Biotechnology, Aquatic Microbiology, University of Duisburg-Essen, Essen, Germany.

出版信息

Environ Microbiol. 2024 Dec;26(12):e70013. doi: 10.1111/1462-2920.70013.

Abstract

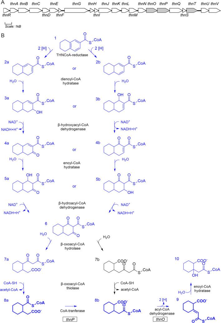
The CoA thioester of 2-(carboxymethyl)cyclohexane-1-carboxylic acid has been identified as a metabolite in anaerobic naphthalene degradation by the sulfate-reducing culture N47. This study identified and characterised two acyl-CoA dehydrogenases (ThnO/ThnT) and an intramolecular CoA-transferase (ThnP) encoded within the substrate-induced thn operon, which contains genes for anaerobic degradation of naphthalene. ThnP is a CoA transferase belonging to the family I (Cat 1 subgroup) that catalyses the intramolecular CoA transfer from the carboxyl group of 2-(carboxymethyl)cyclohexane-1-carboxyl-CoA to its carboxymethyl moiety, forming 2-carboxycyclohexylacetyl-CoA. Neither acetyl-CoA nor succinyl-CoA functions as an exogenous CoA donor for this reaction. The flavin-dependent homotetrameric dehydrogenase ThnO is specific for (1R,2R)-2-carboxycyclohexylacetyl-CoA with an apparent K value of 61.5 μM, whereas ThnT is a promiscuous enzyme catalysing the same reaction at lower rates. Identifying these three enzymes confirmed the involvement of the thn gene cluster in the anaerobic naphthalene degradation pathway. This study establishes a modified metabolic pathway for anaerobic naphthalene degradation upstream of 2-(carboxymethyl)cyclohexane-1-carboxyl-CoA and provides further insight into the subsequent second-ring cleavage reaction.

摘要

2-(羧甲基)环己烷-1-羧酸的辅酶A硫酯已被鉴定为硫酸盐还原培养物N47厌氧降解萘过程中的一种代谢物。本研究鉴定并表征了底物诱导的thn操纵子内编码的两种酰基辅酶A脱氢酶(ThnO/ThnT)和一种分子内辅酶A转移酶(ThnP),该操纵子包含萘厌氧降解的基因。ThnP是一种属于I类(Cat 1亚组)的辅酶A转移酶,催化分子内辅酶A从2-(羧甲基)环己烷-1-羧基辅酶A的羧基转移至其羧甲基部分,形成2-羧基环己基乙酰辅酶A。乙酰辅酶A和琥珀酰辅酶A均不能作为该反应的外源辅酶A供体。黄素依赖性同四聚体脱氢酶ThnO对(1R,2R)-2-羧基环己基乙酰辅酶A具有特异性,表观K值为61.5μM,而ThnT是一种能以较低速率催化相同反应的混杂酶。鉴定出这三种酶证实了thn基因簇参与厌氧萘降解途径。本研究建立了2-(羧甲基)环己烷-1-羧基辅酶A上游的厌氧萘降解的改良代谢途径,并为随后的二环裂解反应提供了进一步的见解。

https://cdn.ncbi.nlm.nih.gov/pmc/blobs/7208/11659651/27bd9e395160/EMI-26-e70013-g010.jpg

文献AI研究员

20分钟写一篇综述,助力文献阅读效率提升50倍。

立即体验

用中文搜PubMed

大模型驱动的PubMed中文搜索引擎

马上搜索

文档翻译

学术文献翻译模型,支持多种主流文档格式。

立即体验