Suppr超能文献

推进线粒体治疗:靶向线粒体丙酮酸载体的吡唑类抑制剂的合成与药理学评价

Advancing mitochondrial therapeutics: Synthesis and pharmacological evaluation of pyrazole-based inhibitors targeting the mitochondrial pyruvate carrier.

作者信息

Maram Lingaiah, Michael Jessica M, Politte Henry, Srirama Vaishnavi S, Hadji Aymen, Habibi Mohammad, Kelly Meredith O, Brookheart Rita T, Finck Brian N, Hegazy Lamees, McCommis Kyle S, Elgendy Bahaa

机构信息

Department of Anesthesiology, Washington University School of Medicine, St. Louis, MO, 63110, USA; Center for Clinical Pharmacology, Washington University School of Medicine and University of Health Sciences and Pharmacy, St. Louis, Missouri, 63110, USA; Department of Pharmaceutical and Administrative Sciences, University of Health Sciences and Pharmacy, St. Louis, Missouri, 63110, USA.

Department of Biochemistry & Molecular Biology, Saint Louis University School of Medicine, St. Louis, MO, 63104, USA.

出版信息

Eur J Med Chem. 2025 Feb 5;283:117150. doi: 10.1016/j.ejmech.2024.117150. Epub 2024 Dec 11.

Abstract

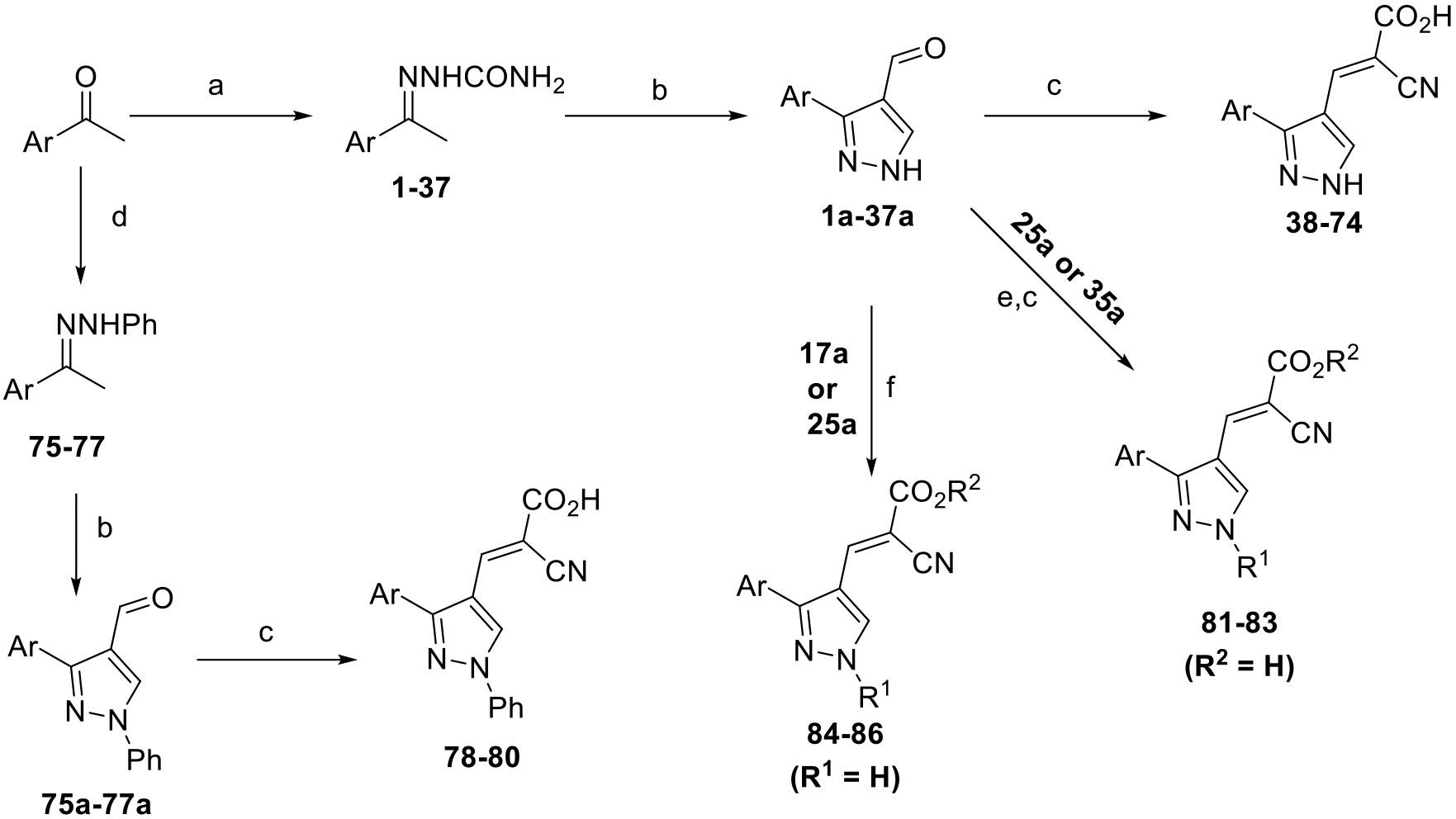
Inhibition of mitochondrial pyruvate transport via the mitochondrial pyruvate carrier (MPC) has shown beneficial effects in treating metabolic diseases, certain cancers, various forms of neurodegeneration, and hair loss. These benefits arise either from the direct inhibition of mitochondrial pyruvate metabolism or from the metabolic rewiring when pyruvate entry is inhibited. However, current MPC inhibitors are either nonspecific or possess poor pharmacokinetic properties. To address this, approximately 50 pyrazole-based MPC inhibitors were synthesized to explore the structure-activity relationship for MPC inhibition, evaluated through inhibition of mitochondrial pyruvate respiration. These inhibitors were designed with increased steric hindrance around electron-deficient double bonds, allowing for refined structural modifications that reduce their potential to act as Michael acceptors. Additionally, the new MPC inhibitors directly inhibited stellate cell activation, indicating their potential as therapeutic candidates for metabolic dysfunction-associated steatohepatitis (MASH). Unlike the thiazolidinedione class of MPC inhibitors, these compounds did not activate the nuclear receptor PPARγ. Molecular modeling was conducted to explore interactions between these novel inhibitors and the MPC complex. We have identified the chemical determinants critical for MPC inhibition and successfully developed novel inhibitors that are potent, specific and possess excellent physicochemical properties, high solubility, and outstanding metabolic stability in human liver microsomes.

摘要

通过线粒体丙酮酸载体(MPC)抑制线粒体丙酮酸转运已显示出在治疗代谢性疾病、某些癌症、各种形式的神经退行性变和脱发方面的有益效果。这些益处要么源于对线粒体丙酮酸代谢的直接抑制,要么源于丙酮酸进入受抑制时的代谢重排。然而,目前的MPC抑制剂要么是非特异性的,要么具有较差的药代动力学性质。为了解决这个问题,合成了大约50种基于吡唑的MPC抑制剂,以通过抑制线粒体丙酮酸呼吸来探索MPC抑制的构效关系。这些抑制剂的设计是在缺电子双键周围增加空间位阻,从而允许进行精细的结构修饰,以降低它们作为迈克尔受体的可能性。此外,新的MPC抑制剂直接抑制星状细胞活化,表明它们作为代谢功能障碍相关脂肪性肝炎(MASH)治疗候选药物的潜力。与噻唑烷二酮类MPC抑制剂不同,这些化合物不会激活核受体PPARγ。进行了分子建模以探索这些新型抑制剂与MPC复合物之间的相互作用。我们已经确定了对MPC抑制至关重要的化学决定因素,并成功开发出了强效、特异性且具有优异物理化学性质、高溶解度以及在人肝微粒体中出色代谢稳定性的新型抑制剂。

https://cdn.ncbi.nlm.nih.gov/pmc/blobs/5338/11931974/069c347b248f/nihms-2063974-f0001.jpg

文献AI研究员

20分钟写一篇综述,助力文献阅读效率提升50倍。

立即体验

用中文搜PubMed

大模型驱动的PubMed中文搜索引擎

马上搜索

文档翻译

学术文献翻译模型,支持多种主流文档格式。

立即体验