Suppr超能文献

头发皮质醇与职业倦怠之间的关联受到年龄、心理社会和免疫标志物的调节。

The association between hair cortisol and burnout is moderated by age, psychosocial, and immunological markers.

作者信息

Gajewski Patrick D, Bröde Peter, Claus Maren, Golka Klaus, Hengstler Jan G, Watzl Carsten, Wascher Edmund, Getzmann Stephan

机构信息

Leibniz Research Centre for Working Environment and Human Factors (IfADo), Dortmund, Germany.

German Center for Mental Health (DZPG), Partner Site Bochum/Marburg, Germany.

出版信息

Brain Behav Immun Health. 2024 Nov 23;43:100909. doi: 10.1016/j.bbih.2024.100909. eCollection 2025 Feb.

Abstract

BACKGROUND

Exhaustion and depersonalization are the core symptoms of the occupational burnout. However, burnout is not an all-or-nothing phenomenon, but can occur in a milder to moderate form in otherwise healthy employees. In the last two decades hair cortisol concentrations (HCC) were increasingly related to the cumulative effect of psychosocial stress at work. We analyzed data of the Dortmund Vital Study (Clinicaltrials.gov: NCT05155397) to explore the relationship of HCC and burnout symptoms. Moreover, we asked whether the HCC - burnout association was moderated by work ability, chronic stress, neuroticism, depressive symptoms, and stress-related immunological biomarkers such as T cell concentration, CD4/CD8 cell ratio, and proinflammatory cytokines TNF- α, IL-6, and IL-18.

METHODS

Burnout was assessed by the Oldenburg Burnout Inventory (OLBI), and the Maslach Burnout Inventory (MBI-D) in 196 working adults aged between 20 and 65 years (mean age 42.2 years). Several self-reported variables and biomarkers were collected.

RESULTS

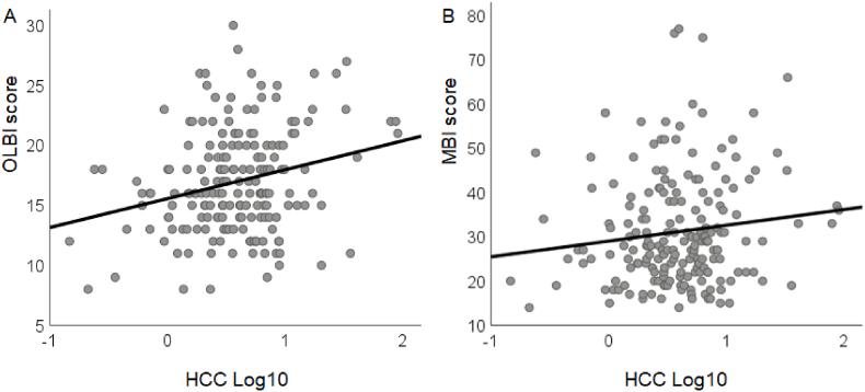
The results showed an association between HCC and the burnout measures. A series of moderator analyses revealed that the association between HCC and burnout symptoms was substantial for low work ability, high chronic stress level, high neuroticism level, and mild to moderate depressive symptoms. Immunological markers moderated the HCC - burnout association for high concentrations of T cells, low CD4/CD8 ratio and low IL-6, IL-18 and TNF-α concentrations. These interactions were moderated by age showing the largest impact in middle-aged to older individuals.

CONCLUSIONS

The present findings shed light on the complex interaction between burnout symptoms and work ability, chronic stress, personality, and the endocrinological and immunological responses across the working lifespan. These parameters should be considered when assessing the risk for developing burnout and validating the diagnosis of burnout.

TRIAL REGISTRATION

ClinicalTrials.gov NCT05155397; https://clinicaltrials.gov/ct2/show/NCT05155397.

摘要

背景

疲惫和人格解体是职业倦怠的核心症状。然而,倦怠并非非此即彼的现象,在其他方面健康的员工中也可能以轻度至中度的形式出现。在过去二十年中,头发皮质醇浓度(HCC)与工作中社会心理压力的累积效应越来越相关。我们分析了多特蒙德生命研究(Clinicaltrials.gov:NCT05155397)的数据,以探讨HCC与倦怠症状之间的关系。此外,我们还询问了HCC与倦怠之间的关联是否受到工作能力、慢性压力、神经质、抑郁症状以及与压力相关的免疫生物标志物(如T细胞浓度、CD4/CD8细胞比率以及促炎细胞因子TNF-α、IL-6和IL-18)的调节。

方法

采用奥尔登堡倦怠量表(OLBI)和马氏倦怠量表(MBI-D)对196名年龄在20至65岁之间(平均年龄42.2岁)的在职成年人进行倦怠评估。收集了几个自我报告的变量和生物标志物。

结果

结果显示HCC与倦怠测量指标之间存在关联。一系列调节分析表明,对于工作能力低、慢性压力水平高、神经质水平高以及轻度至中度抑郁症状的情况,HCC与倦怠症状之间的关联显著。免疫标志物对高浓度T细胞、低CD4/CD8比率以及低IL-6、IL-18和TNF-α浓度调节了HCC与倦怠之间的关联。这些相互作用受年龄调节,在中年至老年个体中影响最大。

结论

本研究结果揭示了整个工作生命周期中倦怠症状与工作能力、慢性压力、人格以及内分泌和免疫反应之间复杂的相互作用。在评估倦怠发生风险和验证倦怠诊断时,应考虑这些参数。

试验注册

ClinicalTrials.gov NCT05155397;https://clinicaltrials.gov/ct2/show/NCT05155397

https://cdn.ncbi.nlm.nih.gov/pmc/blobs/50ed/11664079/8bf007f29b36/gr1.jpg

文献AI研究员

20分钟写一篇综述,助力文献阅读效率提升50倍。

立即体验

用中文搜PubMed

大模型驱动的PubMed中文搜索引擎

马上搜索

文档翻译

学术文献翻译模型,支持多种主流文档格式。

立即体验