Suppr超能文献

西他列汀对2型糖尿病神经保护作用的体内及计算研究:对阿尔茨海默病的启示

In Vivo and Computational Studies on Sitagliptin's Neuroprotective Role in Type 2 Diabetes Mellitus: Implications for Alzheimer's Disease.

作者信息

Mani Vasudevan, Arfeen Minhajul

机构信息

Department of Pharmacology and Toxicology, College of Pharmacy, Qassim University, Buraydah 51452, Saudi Arabia.

Department of Medicinal Chemistry and Pharmacognosy, College of Pharmacy, Qassim University, Buraydah 51452, Saudi Arabia.

出版信息

Brain Sci. 2024 Nov 26;14(12):1191. doi: 10.3390/brainsci14121191.

Abstract

BACKGROUND/OBJECTIVES: Diabetes mellitus (DM), a widespread endocrine disorder characterized by chronic hyperglycemia, can cause nerve damage and increase the risk of neurodegenerative diseases such as Alzheimer's disease (AD). Effective blood glucose management is essential, and sitagliptin (SITG), a dipeptidyl peptidase-4 () inhibitor, may offer neuroprotective benefits in type 2 diabetes mellitus (T2DM).

METHODS

T2DM was induced in rats using nicotinamide (NICO) and streptozotocin (STZ), and biomarkers of AD and DM-linked enzymes, inflammation, oxidative stress, and apoptosis were evaluated in the brain. Computational studies supported the in vivo findings.

RESULTS

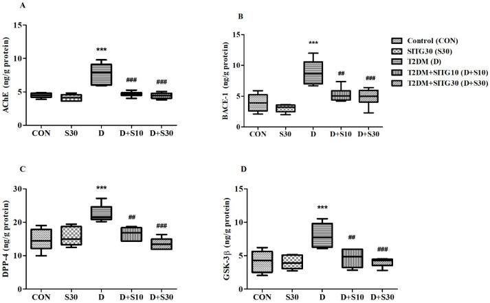
SITG significantly reduced the brain enzyme levels of acetylcholinesterase (), beta-secretase-1 (), , and glycogen synthase kinase-3β () in T2DM-induced rats. It also reduced inflammation by lowering cyclooxygenase-2 (), prostaglandin E2 (PGE2), tumor necrosis factor-α (TNF-α), and nuclear factor-κB (NF-κB). Additionally, SITG improved oxidative stress markers by reducing malondialdehyde (MDA) and enhancing glutathione (GSH). It increased anti-apoptotic B-cell lymphoma protein-2 (Bcl-2) while reducing pro-apoptotic markers such as Bcl-2-associated X (BAX) and Caspace-3. SITG also lowered blood glucose levels and improved plasma insulin levels. To explore potential molecular level mechanisms, docking was performed on , , , , and Caspace-3. The potential binding affinity of SITG for the above-mentioned target enzymes were 10.8, 8.0, 9.7, 7.7, and 7.9 kcal/mol, respectively, comparable to co-crystallized ligands. Further binding mode analysis of the lowest energy conformation revealed interactions with the critical residues.

CONCLUSIONS

These findings highlight SITG's neuroprotective molecular targets in T2DM-associated neurodegeneration and its potential as a therapeutic approach for AD, warranting further clinical investigations.

摘要

背景/目的:糖尿病(DM)是一种以慢性高血糖为特征的广泛存在的内分泌疾病,可导致神经损伤,并增加患阿尔茨海默病(AD)等神经退行性疾病的风险。有效的血糖管理至关重要,而二肽基肽酶-4(DPP-4)抑制剂西他列汀(SITG)可能对2型糖尿病(T2DM)具有神经保护作用。

方法

使用烟酰胺(NICO)和链脲佐菌素(STZ)诱导大鼠患T2DM,并评估大脑中AD的生物标志物以及与DM相关的酶、炎症、氧化应激和细胞凋亡情况。计算机模拟研究支持了体内实验结果。

结果

SITG显著降低了T2DM诱导大鼠大脑中乙酰胆碱酯酶(AChE)、β-分泌酶-1(BACE-1)、p-tau和糖原合酶激酶-3β(GSK-3β)的酶水平。它还通过降低环氧化酶-2(COX-2)、前列腺素E2(PGE2)、肿瘤坏死因子-α(TNF-α)和核因子-κB(NF-κB)来减轻炎症。此外,SITG通过降低丙二醛(MDA)和增强谷胱甘肽(GSH)改善了氧化应激标志物。它增加了抗凋亡的B细胞淋巴瘤蛋白-2(Bcl-2),同时降低了促凋亡标志物如Bcl-2相关X蛋白(BAX)和半胱天冬酶-3(Caspase-3)。SITG还降低了血糖水平并改善了血浆胰岛素水平。为了探索潜在的分子水平机制,对AChE、BACE-1、p-tau、GSK-3β和Caspase-3进行了对接。SITG与上述靶酶的潜在结合亲和力分别为10.8、8.0、9.7、7.7和7.9 kcal/mol,与共结晶配体相当。对最低能量构象的进一步结合模式分析揭示了与关键残基的相互作用。

结论

这些发现突出了SITG在T2DM相关神经退行性变中的神经保护分子靶点及其作为AD治疗方法的潜力,值得进一步的临床研究。

https://cdn.ncbi.nlm.nih.gov/pmc/blobs/0366/11674309/65c9bca6d770/brainsci-14-01191-g001.jpg

文献AI研究员

20分钟写一篇综述,助力文献阅读效率提升50倍。

立即体验

用中文搜PubMed

大模型驱动的PubMed中文搜索引擎

马上搜索

文档翻译

学术文献翻译模型,支持多种主流文档格式。

立即体验