Suppr超能文献

添加生物防护培养物、康普茶或牛至精油的羊乳清可食用涂层对奶酪特性的影响。

Effect of Sheep's Whey Edible Coatings with a Bioprotective Culture, Kombucha Tea or Oregano Essential Oil on Cheese Characteristics.

作者信息

Pereira Carlos D, Varytskaya Hanna, Łydzińska Oliwia, Szkolnicka Katarzyna, Gomes David, Pires Arona

机构信息

School of Agriculture, Polytechnic University of Coimbra, 3045-601 Coimbra, Portugal.

Research Centre for Natural Resources, Environment and Society-CERNAS, 3045-601 Coimbra, Portugal.

出版信息

Foods. 2024 Dec 20;13(24):4132. doi: 10.3390/foods13244132.

Abstract

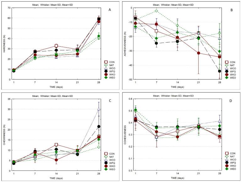
Films and coatings based on biopolymers have been extensively studied in recent years since they have less impact on the environment, can be obtained from renewable sources, have good coating and film-forming capacity, are biodegradable and can have interesting nutritional properties. In the present study, sheep's cheese whey powder (SCWP) was used to produce edible cheese coatings. Six types of cheese samples were produced: without coating (CON); treated with natamycin (NAT); with SCWP coating without antimicrobials (WCO); with SCWP coating with a commercial bioprotective culture (WFQ); with SCWP coating with kombucha tea (WKO); and with SCWP coating with oregano essential oil (WEO). At the end of the ripening period, all the cheeses were classified as full-fat and semihard, according to the Portuguese standard. The higher hardness and adhesiveness values of samples CON, WFQ and WKO were in line with the lower moisture in defatted cheese observed in these samples, indicating that future work should address the improvement of water vapor barrier properties of the whey-based coating. The samples treated with natamycin and with oregano essential oil presented significantly lower values for hardness. Differences were also observed on titratable acidity and a, both between samples and because of ripening time. The color parameters of cheese samples also presented differences, chiefly in the rind, but the highest differences observed resulted from ripening time rather than between samples. In all cases, the counts of lactobacilli and lactococci surpassed log 7 CFU/g by the end of ripening. Regarding yeast and mold counts, the samples CON and WCO presented the highest values by the end of the ripening period (>log 4 CFU/g), while sample NAT presented the lowest value (ca. log 3 CFU/g). Samples WFQ, WKO and WEO presented values which were ca. 0.5 log cycles lower than samples CON and WCO. Hence, the use of SCWP alongside bioprotective culture, kombucha tea or oregano essential oil had a positive impact in the reduction of mold counts on cheese surfaces. Future work should also evaluate the joint use of different antimicrobials.

摘要

近年来,基于生物聚合物的薄膜和涂层受到了广泛研究,因为它们对环境的影响较小,可以从可再生资源中获取,具有良好的涂层和成膜能力,可生物降解,并且可能具有有趣的营养特性。在本研究中,羊奶酪乳清粉(SCWP)被用于生产可食用的奶酪涂层。制备了六种类型的奶酪样品:无涂层(CON);用纳他霉素处理(NAT);有SCWP涂层但无抗菌剂(WCO);有SCWP涂层并添加商业生物保护培养物(WFQ);有SCWP涂层并添加康普茶(WKO);有SCWP涂层并添加牛至精油(WEO)。在成熟期结束时,根据葡萄牙标准,所有奶酪都被归类为全脂半硬质奶酪。CON、WFQ和WKO样品较高的硬度和粘附性值与这些样品脱脂奶酪中较低的水分含量一致,这表明未来的工作应致力于改善基于乳清的涂层的水蒸气阻隔性能。用纳他霉素和牛至精油处理的样品硬度值明显较低。在可滴定酸度和a值方面,样品之间以及由于成熟时间也存在差异。奶酪样品的颜色参数也存在差异,主要在奶酪外皮,但观察到的最大差异是由成熟时间而非样品之间造成的。在所有情况下,成熟期结束时乳酸菌和乳球菌的计数超过log 7 CFU/g。关于酵母和霉菌计数,CON和WCO样品在成熟期结束时呈现最高值(>log 4 CFU/g),而NAT样品呈现最低值(约log 3 CFU/g)。WFQ、WKO和WEO样品的数值比CON和WCO样品低约0.5个对数循环。因此,将SCWP与生物保护培养物、康普茶或牛至精油一起使用对减少奶酪表面的霉菌计数有积极影响。未来的工作还应评估不同抗菌剂的联合使用。

https://cdn.ncbi.nlm.nih.gov/pmc/blobs/7697/11675235/a166aac0f881/foods-13-04132-g001.jpg

文献AI研究员

20分钟写一篇综述,助力文献阅读效率提升50倍。

立即体验

用中文搜PubMed

大模型驱动的PubMed中文搜索引擎

马上搜索

文档翻译

学术文献翻译模型,支持多种主流文档格式。

立即体验