Suppr超能文献

在1型糖尿病动物模型中,评估燕麦片上固定化的OLXAL-1细胞对肠道微生物群的功能调节作用。

Assessment of Immobilized OLXAL-1 Cells on Oat Flakes for Functional Regulation of the Intestinal Microbiome in a Type-1 Diabetic Animal Model.

作者信息

Nelios Grigorios, Prapa Ioanna, Mitropoulou Gregoria, Kompoura Vasiliki, Balafas Evangelos, Kostomitsopoulos Nikolaos, Yanni Amalia E, Kourkoutas Yiannis

机构信息

Laboratory of Applied Microbiology and Biotechnology, Department of Molecular Biology and Genetics, Democritus University of Thrace, Dragana, 68100 Alexandroupolis, Greece.

Laboratory Animal Facility, Biomedical Research Foundation of the Academy of Athens, 11527 Athens, Greece.

出版信息

Foods. 2024 Dec 20;13(24):4134. doi: 10.3390/foods13244134.

Abstract

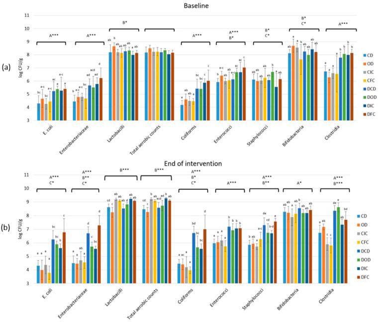
The aim of this study was to examine the effect of free or immobilized OLXAL-1 cells on oat flakes on the gut microbiota and metabolic and inflammatory markers in a streptozotocin (STZ)-induced Type-1 Diabetes Mellitus (T1DM) animal model. Forty-eight male Wistar rats were assigned into eight groups (n = 6): healthy or diabetic animals that received either a control diet (CD and DCD), an oat-supplemented diet (OD and DOD), a diet supplemented with free OLXAL-1 cells (CFC and DFC), or a diet supplemented with immobilized OLXAL-1 cells on oat flakes (CIC and DIC). Neither OLXAL-1 nor oat supplementation led to any significant positive effects on body weight, insulin levels, plasma glucose concentrations, or lipid profile parameters. OLXAL-1 administration resulted in a rise in the relative abundances of and , as well as increased levels of lactic, acetic, and butyric acids in the feces of the diabetic animals. Additionally, supplementation with oat flakes significantly reduced the microbial populations of , , coliforms, staphylococci, and enterococci and lowered IL-1β levels in the blood plasma of diabetic animals. These findings suggested that probiotic food-based strategies could have a potential therapeutic role in managing dysbiosis and inflammation associated with T1DM.

摘要

本研究的目的是在链脲佐菌素(STZ)诱导的1型糖尿病(T1DM)动物模型中,研究游离或固定在燕麦片上的OLXAL-1细胞对肠道微生物群以及代谢和炎症标志物的影响。48只雄性Wistar大鼠被分为八组(n = 6):接受对照饮食(CD和DCD)、燕麦补充饮食(OD和DOD)、游离OLXAL-1细胞补充饮食(CFC和DFC)或固定在燕麦片上的OLXAL-1细胞补充饮食(CIC和DIC)的健康或糖尿病动物。OLXAL-1和燕麦补充剂对体重、胰岛素水平、血糖浓度或脂质谱参数均未产生任何显著的积极影响。给予OLXAL-1导致糖尿病动物粪便中 和 的相对丰度增加,以及乳酸、乙酸和丁酸水平升高。此外,燕麦片补充剂显著减少了糖尿病动物粪便中的 、 、大肠菌群、葡萄球菌和肠球菌的微生物数量,并降低了血浆中的IL-1β水平。这些发现表明,基于益生菌食品的策略在管理与T1DM相关的生态失调和炎症方面可能具有潜在的治疗作用。

https://cdn.ncbi.nlm.nih.gov/pmc/blobs/4ef8/11675650/1d54ddb6b324/foods-13-04134-g001.jpg

文献AI研究员

20分钟写一篇综述,助力文献阅读效率提升50倍。

立即体验

用中文搜PubMed

大模型驱动的PubMed中文搜索引擎

马上搜索

文档翻译

学术文献翻译模型,支持多种主流文档格式。

立即体验