Suppr超能文献

他克林对实验猪食管下括约肌功能反应的影响:通过内镜腔内阻抗平面测量法评估

The Effect of Tacrine on Functional Response of the Lower Oesophageal Sphincter Assessed by Endoscopic Luminal Impedance Planimetry in Experimental Pigs.

作者信息

Bures Jan, Novak Martin, Radochova Vera, Kohoutova Darina, Prchal Lukas, Martinek Jan, Mares Jan, Cerny Jaroslav, Suchanek Stepan, Pejchal Jaroslav, Voxova Barbora, Urbanek Petr, Zavoral Miroslav, Soukup Ondrej

机构信息

Biomedical Research Centre, University Hospital Hradec Kralove, 500 05 Hradec Kralove, Czech Republic.

Department of Medicine, First Faculty of Medicine, Charles University, Prague and Military University Hospital Prague, 169 02 Prague, Czech Republic.

出版信息

Pharmaceuticals (Basel). 2024 Nov 25;17(12):1588. doi: 10.3390/ph17121588.

Abstract

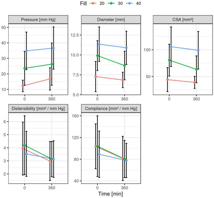
Tacrine is a centrally active non-competitive reversible acetylcholinesterase inhibitor. It also exerts antagonising activity against -methyl-D-aspartate receptors. Tacrine was approved for the treatment of Alzheimer's disease in 1993, but was withdrawn from clinical use in 2013 because of its hepatotoxicity and gastrointestinal side effects. Nevertheless, tacrine is currently facing a renewed wave of interest primarily due to several new tacrine-incorporated hybrids and derivates. There were two specific aims for this study: firstly, to explain the mechanisms of the adverse action of tacrine, as a distinctive example of a highly effective acetylcholinesterase inhibitor; and secondly to check whether luminal impedance planimetry is feasible for preclinical testing of possible side effects of compounds potentially toxic to the gastrointestinal tract. Six experimental pigs were used as the animal model in this study. Five major parameters were evaluated: luminal pressure (mmHg), estimated diameter (mm), cross-sectional area (mm), distensibility (mm/mmHg), and zone compliance (mm/mmHg). All measurements were performed before and 360 min after intragastric administration of 200 mg tacrine (at the porcine tacrine T). This study consistently demonstrated an increase in luminal pressure (a directly measured indicator) for the particular balloon filling volumes used, and inversely a reciprocal decrease in the other parameters after tacrine administration. Endoscopic luminal impedance planimetry is a feasible method to evaluate functional response of the lower oesophageal sphincter to tacrine in experimental pigs. Tacrine did not compromise the function of the lower oesophageal sphincter either toward oesophageal spasms or, in contrast, decreased competence of the lower oesophageal sphincter.

摘要

他克林是一种中枢活性的非竞争性可逆性乙酰胆碱酯酶抑制剂。它还对N-甲基-D-天冬氨酸受体具有拮抗活性。他克林于1993年被批准用于治疗阿尔茨海默病,但由于其肝毒性和胃肠道副作用,于2013年退出临床使用。尽管如此,由于几种新的含他克林的杂合物和衍生物,他克林目前正面临着新一波的关注。本研究有两个特定目标:首先,解释他克林作为一种高效乙酰胆碱酯酶抑制剂的独特例子的不良反应机制;其次,检查腔内阻抗平面测量法对于潜在胃肠道毒性化合物可能的副作用的临床前测试是否可行。本研究使用6只实验猪作为动物模型。评估了五个主要参数:腔内压力(mmHg)、估计直径(mm)、横截面积(mm²)、扩张性(mm/mmHg)和区域顺应性(mm/mmHg)。所有测量均在胃内给予200mg他克林(猪用他克林剂量T)之前和之后360分钟进行。本研究一致表明,对于所使用的特定球囊充盈体积,腔内压力(一个直接测量的指标)增加,相反,他克林给药后其他参数呈反向下降。内镜腔内阻抗平面测量法是评估实验猪下食管括约肌对他克林功能反应的一种可行方法。他克林既没有对食管痉挛损害下食管括约肌的功能,也没有相反地降低下食管括约肌的功能。

https://cdn.ncbi.nlm.nih.gov/pmc/blobs/305f/11678239/3ffa5b1a9a1d/pharmaceuticals-17-01588-g001.jpg

文献AI研究员

20分钟写一篇综述,助力文献阅读效率提升50倍。

立即体验

用中文搜PubMed

大模型驱动的PubMed中文搜索引擎

马上搜索

文档翻译

学术文献翻译模型,支持多种主流文档格式。

立即体验