Suppr超能文献

用于氢气释放的氨硼烷与磺化聚(鞣花酸)混合物的固态热分解研究

Investigation of Solid-State Thermal Decomposition of Ammonia Borane Mix with Sulphonated Poly(ellagic Acid) for Hydrogen Release.

作者信息

Astorino Carmela, De Nardo Eugenio, Lettieri Stefania, Ferraro Giuseppe, Bartoli Mattia, Etzi Marco, Chiodoni Angelica Monica, Pirri Candido Fabrizio, Bocchini Sergio

机构信息

Center for Sustainable Future Technologies-CSFT@POLITO, Via Livorno 60, 10144 Torino, Italy.

Department of Applied Science and Technology, Politecnico di Torino, C.so Duca degli Abruzzi 24, 10129 Turin, Italy.

出版信息

Polymers (Basel). 2024 Dec 12;16(24):3471. doi: 10.3390/polym16243471.

Abstract

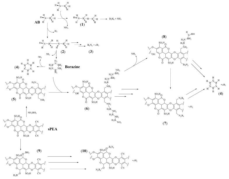
The utilization of hydrogen in safety conditions is crucial for the development of a hydrogen-based economy. Among all methodologies, solid-state hydrogen release from ammonia borane through thermal stimuli is very promising due to the high theoretical hydrogen release. Generally, carbonaceous or inorganic matrices have been used to tune the reactivity of ammonia borane. Nevertheless, these solutions lack chemical tunability, and they do not allow one to properly tune the complex chemical pathway of hydrogen release from ammonia borane. In this study, we investigated the effect of a bioderived multifunctional polymeric matrix on hydrogen release from ammonia borane, reaching pure hydrogen release of 1.2 wt.% at 94 °C. We also describe new chemical pathways involving the formation of anchored intermediates, namely BxNy species.

摘要

在安全条件下利用氢气对于氢基经济的发展至关重要。在所有方法中,通过热刺激从氨硼烷中固态释放氢气由于其高理论氢释放量而非常有前景。一般来说,碳质或无机基质已被用于调节氨硼烷的反应性。然而,这些解决方案缺乏化学可调性,并且不允许人们适当地调节从氨硼烷中释放氢气的复杂化学途径。在本研究中,我们研究了一种生物衍生的多功能聚合物基质对氨硼烷氢释放的影响,在94℃时达到了1.2 wt.%的纯氢释放。我们还描述了涉及形成锚定中间体(即BxNy物种)的新化学途径。

https://cdn.ncbi.nlm.nih.gov/pmc/blobs/075c/11728564/51e08fb52b3f/polymers-16-03471-g001.jpg

文献AI研究员

20分钟写一篇综述,助力文献阅读效率提升50倍。

立即体验

用中文搜PubMed

大模型驱动的PubMed中文搜索引擎

马上搜索

文档翻译

学术文献翻译模型,支持多种主流文档格式。

立即体验