Suppr超能文献

使用暗场显微镜和深度学习对无标记细菌进行虚拟革兰氏染色。

Virtual Gram staining of label-free bacteria using dark-field microscopy and deep learning.

作者信息

Işıl Çağatay, Koydemir Hatice Ceylan, Eryilmaz Merve, de Haan Kevin, Pillar Nir, Mentesoglu Koray, Unal Aras Firat, Rivenson Yair, Chandrasekaran Sukantha, Garner Omai B, Ozcan Aydogan

机构信息

Electrical and Computer Engineering Department, University of California, Los Angeles, CA 90095, USA.

Bioengineering Department, University of California, Los Angeles, CA 90095, USA.

出版信息

Sci Adv. 2025 Jan 10;11(2):eads2757. doi: 10.1126/sciadv.ads2757. Epub 2025 Jan 8.

Abstract

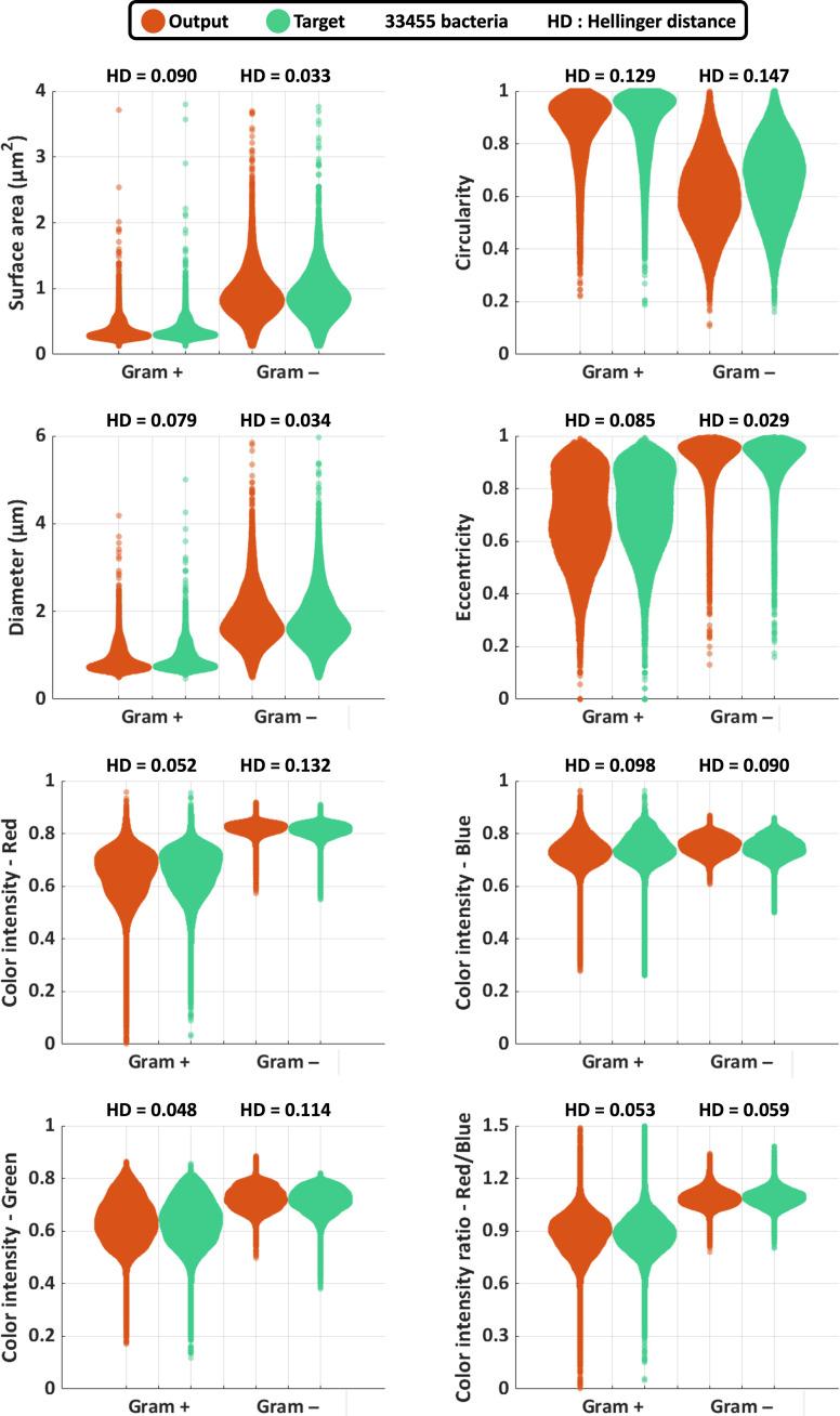
Gram staining has been a frequently used staining protocol in microbiology. It is vulnerable to staining artifacts due to, e.g., operator errors and chemical variations. Here, we introduce virtual Gram staining of label-free bacteria using a trained neural network that digitally transforms dark-field images of unstained bacteria into their Gram-stained equivalents matching bright-field image contrast. After a one-time training, the virtual Gram staining model processes an axial stack of dark-field microscopy images of label-free bacteria (never seen before) to rapidly generate Gram staining, bypassing several chemical steps involved in the conventional staining process. We demonstrated the success of virtual Gram staining on label-free bacteria samples containing and by quantifying the staining accuracy of the model and comparing the chromatic and morphological features of the virtually stained bacteria against their chemically stained counterparts. This virtual bacterial staining framework bypasses the traditional Gram staining protocol and its challenges, including stain standardization, operator errors, and sensitivity to chemical variations.

摘要

革兰氏染色一直是微生物学中常用的染色方法。由于例如操作人员失误和化学变化等原因,它容易出现染色假象。在此,我们介绍一种使用经过训练的神经网络对无标记细菌进行虚拟革兰氏染色的方法,该网络可将未染色细菌的暗场图像数字转换为与明场图像对比度相匹配的革兰氏染色等效图像。经过一次性训练后,虚拟革兰氏染色模型处理无标记细菌(从未见过)的暗场显微镜图像轴向堆栈,以快速生成革兰氏染色,绕过传统染色过程中涉及的几个化学步骤。我们通过量化模型的染色准确性,并将虚拟染色细菌的颜色和形态特征与其化学染色对应物进行比较,证明了虚拟革兰氏染色在含有[具体内容缺失]的无标记细菌样本上的成功。这种虚拟细菌染色框架绕过了传统的革兰氏染色方法及其挑战,包括染色标准化、操作人员失误以及对化学变化的敏感性。

https://cdn.ncbi.nlm.nih.gov/pmc/blobs/f874/11803577/f7435e929a25/sciadv.ads2757-f1.jpg

文献AI研究员

20分钟写一篇综述,助力文献阅读效率提升50倍。

立即体验

用中文搜PubMed

大模型驱动的PubMed中文搜索引擎

马上搜索

文档翻译

学术文献翻译模型,支持多种主流文档格式。

立即体验