Suppr超能文献

在严重干旱期间,平原斑马在不牺牲社会纽带的情况下优先觅食。

Plains Zebras Prioritize Foraging Without Sacrificing Social Bonds During a Severe Drought.

作者信息

Hex Severine B S W, Isbilen Erin S, Rubenstein Daniel I

机构信息

Department of Ecology and Evolutionary Biology Princeton University Princeton New Jersey USA.

Child Study Center Yale University, School of Medicine New Haven Connecticut USA.

出版信息

Ecol Evol. 2025 Jan 8;15(1):e70632. doi: 10.1002/ece3.70632. eCollection 2025 Jan.

Abstract

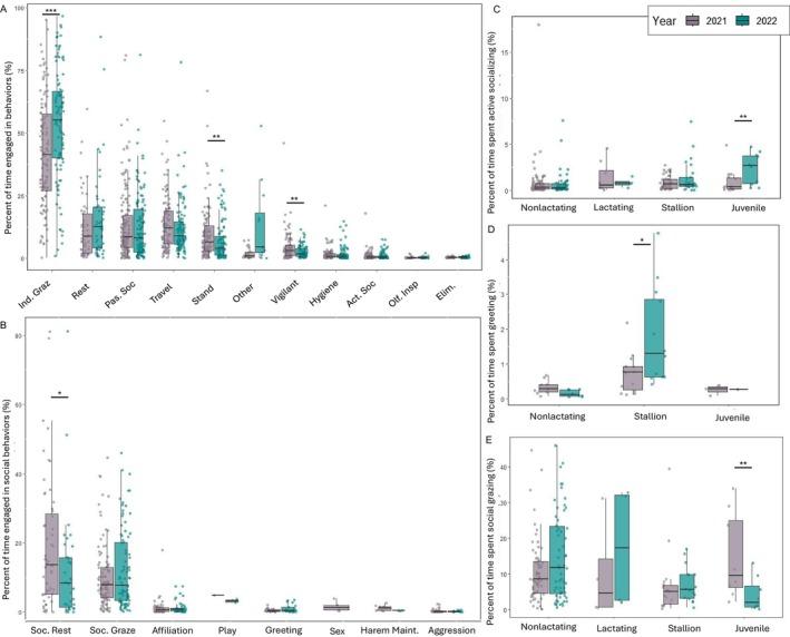
Anthropogenically induced climate change has significantly increased the frequency of acute weather events, such as drought. As human activities amplify environmental stresses, animals may be forced to prioritize survival over behaviors less crucial to immediate fitness, such as socializing. Yet, social bonds may also enable individuals to weather the deleterious effects of environmental conditions. We investigated how the highly social plains zebra () modify their activity budgets, social networks, and multimodal communication during a drought. Although animals prioritized feeding and the number of social interactions dramatically decreased in the late drought period, social associations remained robust. We observed age/sex class-specific changes in social behavior, reflecting the nutritional needs and social niche of each individual. Stallions devoted more time to greeting behaviors, which could mitigate harassment by bachelor males and facilitate grazing time for the females of the harem. Juveniles significantly increased time spent active socializing, despite mothers showing the greatest decrease in the number of social interactions. Instead, unrelated, nonlactating females served as social partners, accommodating both juveniles' social needs and lactating mothers' nutritive requirements. Using a network-based representation of multimodal communication, we observed a decrease in the number of signals used during the drought. Individuals used less diverse multimodal combinations, particularly in the costly context of aggression. These findings illustrate how social roles and differential responses to acute environmental stress within stable social groups may contribute to species resilience, and how communication flexibly responds to facilitate both survival and sociality under harsh environmental conditions.

摘要

人为引起的气候变化显著增加了干旱等极端天气事件的发生频率。随着人类活动加剧环境压力,动物可能被迫将生存置于对即时健康不太关键的行为之上,比如社交。然而,社会纽带也可能使个体抵御环境条件的有害影响。我们研究了高度群居的平原斑马( )在干旱期间如何调整其活动预算、社交网络和多模态通讯。尽管动物优先考虑觅食,且在干旱后期社交互动的数量大幅减少,但社会联系依然稳固。我们观察到社会行为存在年龄/性别类别的特定变化,这反映了每个个体的营养需求和社会生态位。成年雄马将更多时间用于问候行为,这可以减轻单身雄性的骚扰,并为妻妾群中的雌性提供更多的采食时间。尽管母马的社交互动次数减少最多,但幼驹显著增加了积极社交的时间。相反,无血缘关系的非哺乳期雌性充当了社交伙伴,既满足了幼驹的社交需求,又满足了哺乳期母马的营养需求。通过基于网络的多模态通讯表示法,我们观察到干旱期间使用的信号数量有所减少。个体使用的多模态组合种类变少,尤其是在代价高昂的攻击情境中。这些发现说明了稳定社会群体中的社会角色以及对极端环境压力的不同反应如何有助于物种恢复力,以及通讯如何灵活响应以在恶劣环境条件下促进生存和社交。

https://cdn.ncbi.nlm.nih.gov/pmc/blobs/0cfe/11710937/6441e4687693/ECE3-15-e70632-g003.jpg

文献AI研究员

20分钟写一篇综述,助力文献阅读效率提升50倍。

立即体验

用中文搜PubMed

大模型驱动的PubMed中文搜索引擎

马上搜索

文档翻译

学术文献翻译模型,支持多种主流文档格式。

立即体验