Suppr超能文献

阿黛尔:一种用于反式表达数量性状基因座定位的全局测试方法。

ADELLE: A global testing method for trans-eQTL mapping.

作者信息

Akinbiyi Takintayo, McPeek Mary Sara, Abney Mark

机构信息

Department of Statistics, The University of Chicago, Chicago, Illinois, United States of America.

Department of Human Genetics, The University of Chicago, Chicago, Illinois, United States of America.

出版信息

PLoS Genet. 2025 Jan 10;21(1):e1011563. doi: 10.1371/journal.pgen.1011563. eCollection 2025 Jan.

Abstract

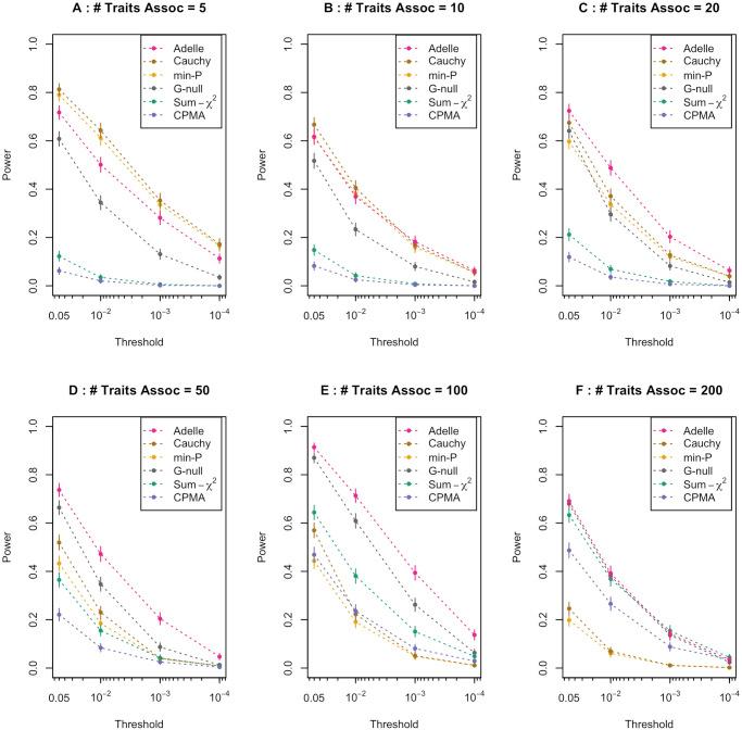
Understanding the genetic regulatory mechanisms of gene expression is an ongoing challenge. Genetic variants that are associated with expression levels are readily identified when they are proximal to the gene (i.e., cis-eQTLs), but SNPs distant from the gene whose expression levels they are associated with (i.e., trans-eQTLs) have been much more difficult to discover, even though they account for a majority of the heritability in gene expression levels. A major impediment to the identification of more trans-eQTLs is the lack of statistical methods that are powerful enough to overcome the obstacles of small effect sizes and large multiple testing burden of trans-eQTL mapping. Here, we propose ADELLE, a powerful statistical testing framework that requires only summary statistics and is designed to be most sensitive to SNPs that are associated with multiple gene expression levels, a characteristic of many trans-eQTLs. In simulations, we show that for detecting SNPs that are associated with 0.1%-2% of 10,000 traits, among the 8 methods we consider ADELLE is clearly the most powerful overall, with either the highest power or power not significantly different from the highest for all settings in that range. We apply ADELLE to a mouse advanced intercross line data set and show its ability to find trans-eQTLs that were not significant under a standard analysis. We also apply ADELLE to trans-eQTL mapping in the eQTLGen data, and for 1,451 previously identified trans-eQTLs, we discover trans association with additional expression traits beyond those previously identified. This demonstrates that ADELLE is a powerful tool at uncovering trans regulators of genetic expression.

摘要

理解基因表达的遗传调控机制是一项持续的挑战。与表达水平相关的基因变异在靠近基因时(即顺式eQTL)很容易被识别,但与它们所关联的基因表达水平距离较远的单核苷酸多态性(即反式eQTL)则更难发现,尽管它们在基因表达水平的遗传力中占了大部分。识别更多反式eQTL的一个主要障碍是缺乏足够强大的统计方法来克服反式eQTL定位中小效应大小和多重检验负担大的障碍。在此,我们提出了ADELLE,这是一个强大的统计检验框架,它只需要汇总统计数据,并且设计成对与多个基因表达水平相关的单核苷酸多态性最为敏感,这是许多反式eQTL的一个特征。在模拟中,我们表明,对于检测与10000个性状中的0.1%-2%相关的单核苷酸多态性,在我们考虑的8种方法中,ADELLE显然是总体上最强大的,在该范围内的所有设置中,它要么具有最高的功效,要么功效与最高功效没有显著差异。我们将ADELLE应用于一个小鼠高级杂交系数据集,并展示了它发现标准分析下不显著的反式eQTL的能力。我们还将ADELLE应用于eQTLGen数据中的反式eQTL定位,对于1451个先前确定的反式eQTL,我们发现了除先前确定的那些之外与其他表达性状的反式关联。这表明ADELLE是揭示基因表达反式调节因子的有力工具。

https://cdn.ncbi.nlm.nih.gov/pmc/blobs/fa18/11756770/1cc1dc690f27/pgen.1011563.g001.jpg

文献AI研究员

20分钟写一篇综述,助力文献阅读效率提升50倍。

立即体验

用中文搜PubMed

大模型驱动的PubMed中文搜索引擎

马上搜索

文档翻译

学术文献翻译模型,支持多种主流文档格式。

立即体验