Suppr超能文献

SGSF043对白菜种子萌发活性的影响:来自表型指标、抗逆指标、激素和功能基因的证据

Effects of SGSF043 on the Germination Activity of Chinese Cabbage Seeds: Evidence from Phenotypic Indicators, Stress Resistance Indicators, Hormones and Functional Genes.

作者信息

Zheng Xu, Huang Yuxia, Lin Xinpeng, Chen Yuanlong, Fu Haiyan, Liu Chunguang, Chu Dong, Yang Fengshan

机构信息

Engineering Research Center of Agricultural Microbiology Technology, Ministry of Education & Heilongjiang Provincial Key Laboratory of Ecological Restoration and Resource Utilization for Cold Region & Key Laboratory of Molecular Biology, College of Heilongjiang Province & School of Life Sciences, Heilongjiang University, Harbin 150080, China.

College of Plant Health and Medicine, Qingdao Agricultural University, Qingdao 266109, China.

出版信息

Plants (Basel). 2024 Dec 27;14(1):58. doi: 10.3390/plants14010058.

Abstract

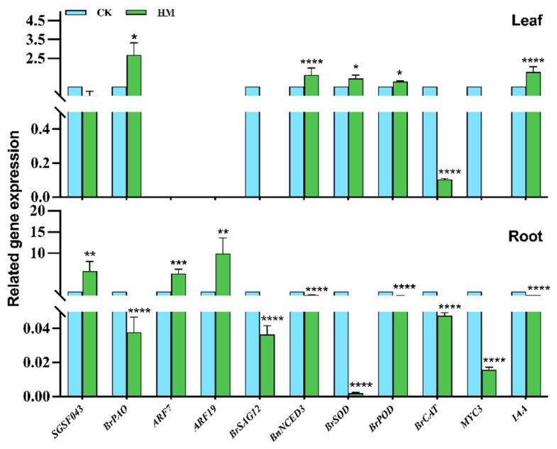
In this study, the effect of spp. on the seed germination of cabbage, a cruciferous crop, was investigated. The effects of this strain on the seed germination vigor, bud growth and physiological characteristics of Chinese cabbage were analyzed by a seed coating method. The results showed the following: (1) The coating agent SGSF043 could significantly improve the germination activity of Chinese cabbage seeds. (2) The strain concentration in the seed coating agent had different degrees of regulation on the antioxidase system of the buds, indicating that it could activate the antioxidant system and improve the antioxidant ability of the buds. (3) When the concentration of SGSF043 was 5.6 × 10 CFU/mL (average per grain), the effect of SGSF043 on the leaf hormones Indole Acetic Acid (IAA), Gibberellic Acid (GA) and Abscisic Acid (ABA) of Chinese cabbage seedlings was significantly higher than that of other treatment groups, indicating that the strain could optimize the level of plant hormones. (4) SGSF043 could induce the expression of stress-resistance-related genes in different tissue parts of Chinese cabbage and improve the growth-promoting stress resistance of buds. This study showed that SGSF043 could not only improve the germination vitality of Chinese cabbage seeds but also enhance the immunity of young buds. The results provide a theoretical basis for the application potential of in agricultural production.

摘要

在本研究中,调查了[具体菌种名称]对十字花科作物甘蓝种子萌发的影响。通过种子包衣法分析了该菌株对大白菜种子萌发活力、芽生长及生理特性的影响。结果如下:(1)包衣剂SGSF043能显著提高大白菜种子的萌发活性。(2)种子包衣剂中的菌株浓度对芽的抗氧化酶系统有不同程度的调节作用,表明其能激活抗氧化系统,提高芽的抗氧化能力。(3)当SGSF043浓度为5.6×10 CFU/mL(平均每粒)时,SGSF043对大白菜幼苗叶片激素吲哚乙酸(IAA)、赤霉素(GA)和脱落酸(ABA)的影响显著高于其他处理组,表明该菌株能优化植物激素水平。(4)SGSF043能诱导大白菜不同组织部位抗逆相关基因的表达,提高芽的促生长抗逆性。本研究表明,SGSF043不仅能提高大白菜种子的萌发活力,还能增强幼芽的免疫力。研究结果为[具体菌种名称]在农业生产中的应用潜力提供了理论依据。

https://cdn.ncbi.nlm.nih.gov/pmc/blobs/8b7c/11722606/5a42849d86ee/plants-14-00058-g001.jpg

文献AI研究员

20分钟写一篇综述,助力文献阅读效率提升50倍。

立即体验

用中文搜PubMed

大模型驱动的PubMed中文搜索引擎

马上搜索

文档翻译

学术文献翻译模型,支持多种主流文档格式。

立即体验