Suppr超能文献

黄酮属抗菌类化合物综述:构效关系及作用模式

Review on antibacterial flavonoids from genus : Structure-activity relationship and mode of action.

作者信息

Herlina Tati, Rizaldi Akili Abd Wahid, Nishinarizki Vicki, Hardianto Ari, Latip Jalifah Binti

机构信息

Department of Chemistry, Faculty of Mathematics and Natural Science, Padjadjaran University, Jatinangor, 45363, Sumedang, West Java, Indonesia.

Department of Chemical Sciences, Faculty of Science and Technology, Universiti Kebangsaan Malaysia (UKM), 46300, Bangi, Selangor, Malaysia.

出版信息

Heliyon. 2024 Dec 20;11(1):e41395. doi: 10.1016/j.heliyon.2024.e41395. eCollection 2025 Jan 15.

Abstract

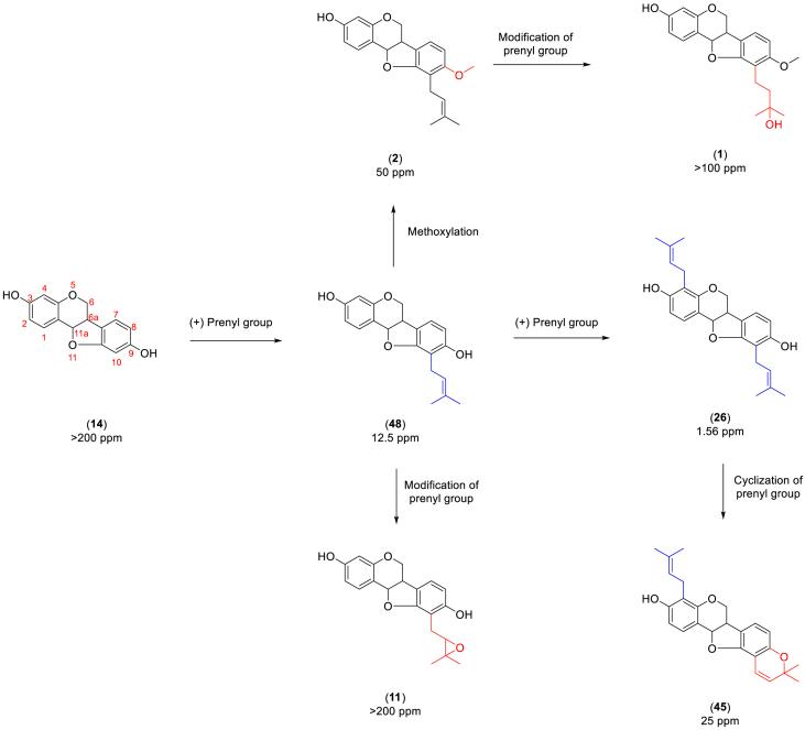
The Fabaceae family, particularly genus , is renowned for significant medicinal properties. These plants have been used as natural remedies to address various health issues and are rich in flavonoids. Therefore, this review aimed to provide a comprehensive overview of antibacterial activity, structure-activity relationship, especially against drug-resistance and mode of action for flavonoids isolated from . Data were collected from reputable electronic scholarly resources focusing on publications from 2000 to 2022. The results showed that the evaluated flavonoids include 31 % pterocarpans, 22 % flavanones, 20 % isoflavanones, 18 % isoflavones, 4 % isoflavans, 3 % isoflav-3-enes, 1 % 3-arylcoumarins, and 1 % coumestans. Most of these compounds in plants were extracted from the roots and stem bark. Among these group of flavonoids, pterocarpan stands out as the most active class against . Structure-activity relationship study emphasized pivotal contribution of the prenyl functional group to enhance antibacterial activity of flavonoids. Increasing the number of prenyl groups enhanced antibacterial effectiveness while modifying the group reduced this activity. The proposed antibacterial mechanisms of these flavonoids include the suppression of nucleic acid synthesis, disruption of cytoplasmic membrane function, and modulation of energy metabolism. Among the potent antibacterial flavonoids from genus , compound 3,9-dihyroxy-10-γ,γ-dimethylallyl-6a,11a-dehydropterocarpan was found as the most potent against Methicillin-Resistant (MRSA) through the inhibition of nucleic acid synthesis. Other common flavonoids such as genistein, daidzein, apigenin, and luteolin exert antibacterial activity through the inhibition of ATP synthase.

摘要

豆科植物,尤其是[属名]属,以其显著的药用特性而闻名。这些植物一直被用作天然药物来解决各种健康问题,并且富含黄酮类化合物。因此,本综述旨在全面概述从[属名]属植物中分离出的黄酮类化合物的抗菌活性、构效关系,尤其是对耐药性的作用以及作用方式。数据收集自2000年至2022年期间的著名电子学术资源中关于相关出版物的内容。结果表明,所评估的黄酮类化合物包括31%的紫檀烷类、22%的黄烷酮类、20%的异黄烷酮类、18%的异黄酮类、4%的异黄烷类、3%的异黄酮-3-烯类、1%的3-芳基香豆素类和1%的香豆雌酚类。这些[属名]属植物中的大多数化合物是从根和茎皮中提取的。在这组黄酮类化合物中,紫檀烷类是对[细菌名称]最具活性的类别。构效关系研究强调了异戊烯基官能团对增强黄酮类化合物抗菌活性的关键作用。增加异戊烯基的数量可增强抗菌效果,而改变该基团则会降低这种活性。这些黄酮类化合物提出的抗菌机制包括抑制核酸合成、破坏细胞质膜功能以及调节能量代谢。在[属名]属的强效抗菌黄酮类化合物中,化合物3,9-二羟基-10-γ,γ-二甲基烯丙基-6a,11a-脱氢紫檀烷通过抑制核酸合成被发现是对耐甲氧西林[细菌名称](MRSA)最有效的。其他常见的黄酮类化合物,如染料木黄酮、大豆苷元、芹菜素和木犀草素,通过抑制ATP合酶发挥抗菌活性。

https://cdn.ncbi.nlm.nih.gov/pmc/blobs/3507/11729662/7dddd38dc1b6/gr1.jpg

文献AI研究员

20分钟写一篇综述,助力文献阅读效率提升50倍。

立即体验

用中文搜PubMed

大模型驱动的PubMed中文搜索引擎

马上搜索

文档翻译

学术文献翻译模型,支持多种主流文档格式。

立即体验