Suppr超能文献

LC-MS/MS辅助的罗哌卡因和3-羟基罗哌卡因在大鼠平面阻滞麻醉后药代动力学及组织分布研究

LC-MS/MS assisted pharmacokinetic and tissue distribution study of ropivacaine and 3-OH-ropivacaine on rats after plane block anesthesia.

作者信息

Butiulca Mihaela, Farczadi Lenard, Imre Silvia, Vari Camil Eugen, Vlase Laurian, Cordos Bogdan, Azamfirei Leonard, Lazar Alexandra Elena

机构信息

Department of Anaesthesiology and Intensive Care Medicine, Faculty of General Medicine, George Emil Palade University of Medicine, Pharmacy, Science, and Technology of Targu Mures, Târgu Mureș, Romania.

Department of Anaesthesiology and Intensive Care Medicine, Emergency County Hospital, Târgu Mureș, Romania.

出版信息

Front Pharmacol. 2025 Jan 7;15:1494646. doi: 10.3389/fphar.2024.1494646. eCollection 2024.

Abstract

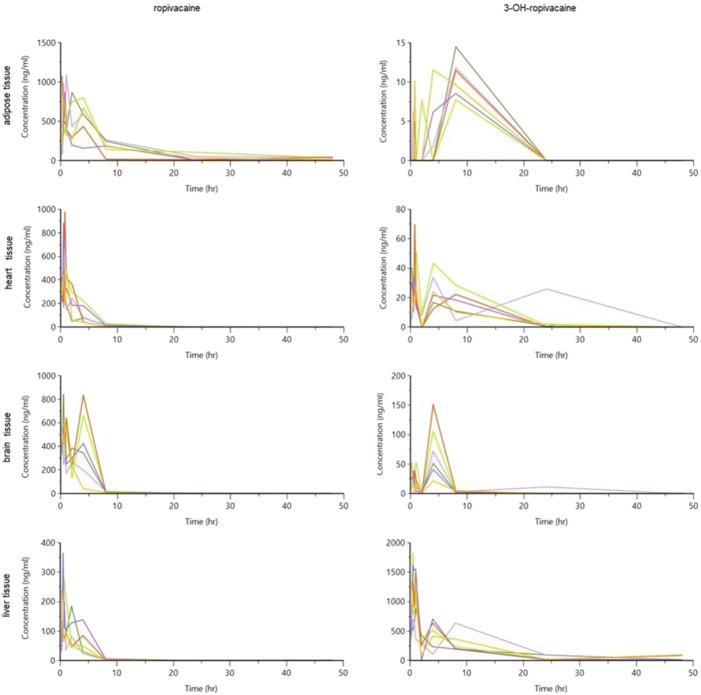
Knowledge of drug pharmacokinetics and tissue distribution is precious for ensuring patient safety and optimizing treatments. The varied use of local anesthetics, as well as the fact that anesthetics can sometimes have low therapeutic indices and numerous adverse drug reactions, makes any novel pharmacokinetics information valuable. The present manuscript describes a pharmacokinetic study of ropivacaine carried out after plane block anesthesia on an animal model, using high sensitivity, accurate, and precise LC-MS/MS bioanalysis. Both plasmatic concentrations and tissue distribution of ropivacaine and its primary active metabolite were determined. The results showed a tissue affinity of the anesthetics, a clearance of ropivacaine mainly by hepatic metabolism, and the final, mainly renal excretion of the hydroxylated metabolite. While the results cannot simply and directly be transposed to human pharmacokinetics, they offer a valuable basis for future studies and can contribute to a better understanding of the bioavailability and toxicology of the widely used modern anesthetic.

摘要

了解药物的药代动力学和组织分布对于确保患者安全和优化治疗至关重要。局部麻醉药的使用方式多样,而且麻醉药有时治疗指数较低且存在众多药物不良反应,这使得任何新的药代动力学信息都很有价值。本手稿描述了在动物模型上进行平面阻滞麻醉后对罗哌卡因开展的一项药代动力学研究,采用了高灵敏度、准确且精确的液相色谱-串联质谱(LC-MS/MS)生物分析方法。测定了罗哌卡因及其主要活性代谢物的血浆浓度和组织分布。结果显示了麻醉药的组织亲和力、罗哌卡因主要通过肝脏代谢清除,以及羟基化代谢物最终主要经肾脏排泄。虽然这些结果不能简单直接地套用到人体药代动力学上,但它们为未来的研究提供了有价值的基础,并有助于更好地理解这种广泛使用的现代麻醉药的生物利用度和毒理学。

https://cdn.ncbi.nlm.nih.gov/pmc/blobs/ecf6/11746028/37ac4a371330/fphar-15-1494646-g001.jpg

文献AI研究员

20分钟写一篇综述,助力文献阅读效率提升50倍。

立即体验

用中文搜PubMed

大模型驱动的PubMed中文搜索引擎

马上搜索

文档翻译

学术文献翻译模型,支持多种主流文档格式。

立即体验