Suppr超能文献

帕博利珠单抗±帕立骨化醇用于最大程度细胞减灭术后的转移性胰腺癌

Pembrolizumab ± paricalcitol in metastatic pancreatic cancer postmaximal cytoreduction.

作者信息

Chung Vincent, Alistar Angela, Becerra Carlos, Kasi Anup, Borazanci Erkut, Jameson Gayle S, Roe Denise J, Wertheim Betsy C, Cridebring Derek, Truitt Morgan, Downes Michael, Barrett Michael T, Korn Ron, Lee Keehoon, Han Haiyong, Evans Ronald, Von Hoff Daniel D

机构信息

City of Hope National Medical Center, Duarte, CA, United States.

Atlantic Medical Group-Oncology Morristown Medical Center, Morristown, NJ, United States.

出版信息

Oncologist. 2025 Jan 17;30(1). doi: 10.1093/oncolo/oyae323.

Abstract

LESSONS LEARNED

Intravenous paricalcitol did not improve the efficacy of pembrolizumab, likely related to the short half-life.

BACKGROUND

Immunotherapy has limited benefit in the treatment of advanced pancreatic cancer with the tumor microenvironment playing a key role in immune resistance. In preclinical studies, vitamin D receptor (VDR) agonists have been shown to sensitize pancreatic tumors to PD-1 blockade.

METHODS

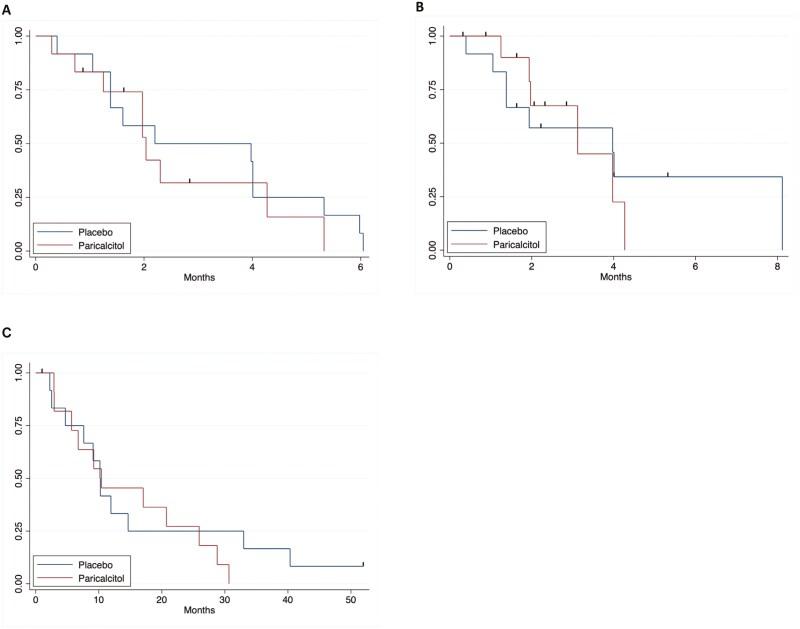
This was a randomized, double-blinded, placebo-controlled, phase II trial to evaluate pembrolizumab with or without paricalcitol as maintenance therapy for patients with metastatic pancreatic ductal adenocarcinoma (PDAC). Participants were ≥18 years; histologically or cytologically confirmed metastatic PDAC showing no disease progression after frontline systemic therapy, and achieving maximal cytoreduction (eg, with no further antitumor effect), Eastern Cooperative Oncology Group (ECOG) status of 0 or 1; adequate organ function. Study treatment included: pembrolizumab 200 mg IV every 3 weeks and either paricalcitol 25 mcg IV 3 times per week or placebo. The primary objective was to evaluate 6-month progression free survival (PFS). Secondary objectives include evaluating the toxicity of the combination and overall survival (OS).

RESULTS

There was no significant difference in 6-month PFS, median PFS, median OS, nor treatment-related AEs between the 2 arms.

CONCLUSIONS AND RELEVANCE

Paricalcitol did not improve the efficacy of pembrolizumab likely related to its short half-life of only 5-7 hours. Microbiome analysis revealed significant difference between long-term (>12 weeks) and short-term (<12 weeks) survival groups across treatment arms. Modulation of the tumor microenvironment will likely require more sustained VDR activity.

TRIAL REGISTRATION

Clinicaltrials.gov, ID: NCT03331562.

摘要

经验教训

静脉注射帕立骨化醇未提高帕博利珠单抗的疗效,可能与半衰期短有关。

背景

免疫疗法在晚期胰腺癌治疗中的获益有限,肿瘤微环境在免疫抵抗中起关键作用。在临床前研究中,维生素D受体(VDR)激动剂已显示可使胰腺肿瘤对PD-1阻断敏感。

方法

这是一项随机、双盲、安慰剂对照的II期试验,旨在评估帕博利珠单抗联合或不联合帕立骨化醇作为转移性胰腺导管腺癌(PDAC)患者的维持治疗。参与者年龄≥18岁;经组织学或细胞学确诊为转移性PDAC,在一线全身治疗后无疾病进展,并实现最大程度的肿瘤细胞减灭(例如,无进一步抗肿瘤效应),东部肿瘤协作组(ECOG)状态为0或1;器官功能良好。研究治疗包括:帕博利珠单抗200mg静脉注射,每3周一次,以及每周3次静脉注射25mcg帕立骨化醇或安慰剂。主要目标是评估6个月无进展生存期(PFS)。次要目标包括评估联合治疗的毒性和总生存期(OS)。

结果

两组在6个月PFS、中位PFS、中位OS或治疗相关不良事件方面均无显著差异。

结论及意义

帕立骨化醇未提高帕博利珠单抗的疗效,可能与其仅5 - 7小时的短半衰期有关。微生物组分析显示,各治疗组长期(>12周)和短期(<12周)生存组之间存在显著差异。调节肿瘤微环境可能需要更持续的VDR活性。

试验注册

Clinicaltrials.gov,标识符:NCT03331562。

https://cdn.ncbi.nlm.nih.gov/pmc/blobs/878f/11756276/531147314e36/oyae323_fig1.jpg

文献AI研究员

20分钟写一篇综述,助力文献阅读效率提升50倍。

立即体验

用中文搜PubMed

大模型驱动的PubMed中文搜索引擎

马上搜索

文档翻译

学术文献翻译模型,支持多种主流文档格式。

立即体验