Suppr超能文献

通过纳米沉淀法制备的本征荧光聚对苯二甲酸乙二酯(PET)颗粒的纳米粒径控制

Control of Nanoparticle Size of Intrinsically Fluorescent PET (Polyethylene Terephthalate) Particles Produced Through Nanoprecipitation.

作者信息

Lettieri Raffaella, Mudassir Muhammad, Domenici Fabio, Salina Andrea, Venanzi Mariano, D'Ottavi Cadia, Di Bartolomeo Elisabetta, Gatto Emanuela

机构信息

Department of Chemical Science and Technologies, University of Rome Tor Vergata, 00133 Rome, Italy.

出版信息

Molecules. 2025 Jan 13;30(2):282. doi: 10.3390/molecules30020282.

Abstract

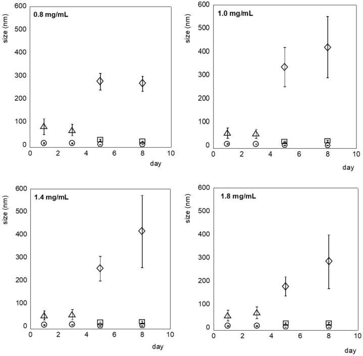
Plastics are widely produced due to their stability and ease of manufacturing, but many of them quickly become a waste, breaking down into microplastics and nanoplastics. While methods for the identification and characterization of plastic particles are well consolidated, the small size of nanoplastics presents challenges for their detection and analysis. Furthermore, due to the difficulty of identifying nanoplastics, analytical studies concerning their effect on cells and a comprehensive spectroscopic characterization are still lacking. In this paper, we overcome this obstacle by synthesizing and characterizing, for the first time, PET nanoparticles with specific, stable dimensions through a top-down approach. Using hexafluoroisopropanol-chloroform as a solvent, we prepared PET solutions at various concentrations and analyzed their spectral properties over time. Our results show that PET aggregates into nanoparticles, the quantity of which increases with concentration. These findings provide crucial insights for the detection of nanoplastics in environmental samples through fluorescence measurements and can potentially be used to produce stable PET nanoparticles to evaluate their cytotoxicity.

摘要

塑料因其稳定性和易于制造而被广泛生产,但其中许多很快就变成了废物,分解成微塑料和纳米塑料。虽然塑料颗粒的识别和表征方法已经很成熟,但纳米塑料的小尺寸给它们的检测和分析带来了挑战。此外,由于难以识别纳米塑料,关于它们对细胞的影响以及全面的光谱表征的分析研究仍然缺乏。在本文中,我们通过自上而下的方法首次合成并表征了具有特定、稳定尺寸的聚对苯二甲酸乙二酯(PET)纳米颗粒,克服了这一障碍。使用六氟异丙醇 - 氯仿作为溶剂,我们制备了不同浓度的PET溶液,并随时间分析了它们的光谱特性。我们的结果表明,PET聚集成纳米颗粒,其数量随浓度增加。这些发现为通过荧光测量检测环境样品中的纳米塑料提供了关键见解,并有可能用于生产稳定的PET纳米颗粒以评估其细胞毒性。

https://cdn.ncbi.nlm.nih.gov/pmc/blobs/b8a4/11767366/e1ead4dc84b4/molecules-30-00282-g001.jpg

文献AI研究员

20分钟写一篇综述,助力文献阅读效率提升50倍。

立即体验

用中文搜PubMed

大模型驱动的PubMed中文搜索引擎

马上搜索

文档翻译

学术文献翻译模型,支持多种主流文档格式。

立即体验