Suppr超能文献

可激活T淋巴细胞上OX40的OX40配体融合蛋白的产生与特性分析

Generation and characterization of OX40-ligand fusion protein that agonizes OX40 on T-Lymphocytes.

作者信息

Sato Ayaka, Nagai Hodaka, Suzuki Ayano, Ito Aya, Matsuyama Shimpei, Shibui Nagito, Morita Masashi, Hikosaka-Kuniishi Mari, Ishii Naoto, So Takanori

机构信息

Laboratory of Molecular Cell Biology, Graduate School of Medicine and Pharmaceutical Sciences, University of Toyama, Toyama, Japan.

Department of Microbiology and Immunology, Tohoku University Graduate School of Medicine, Tohoku University, Sendai, Japan.

出版信息

Front Immunol. 2025 Jan 10;15:1473815. doi: 10.3389/fimmu.2024.1473815. eCollection 2024.

Abstract

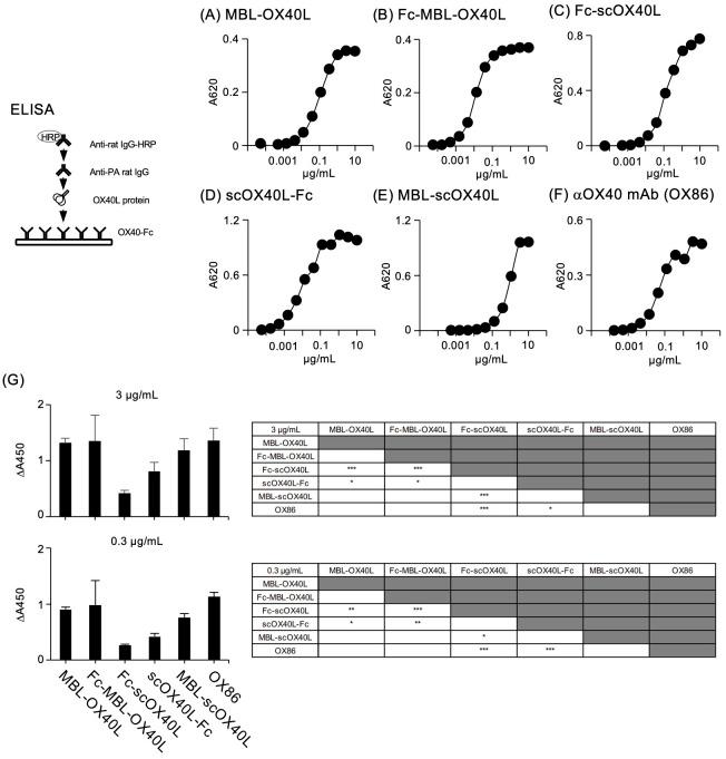
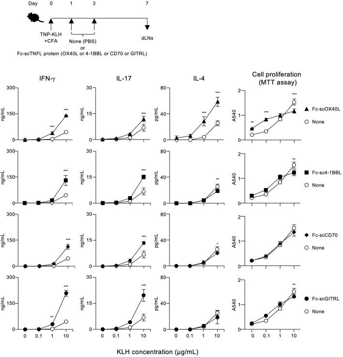
OX40, a member of the tumor necrosis factor (TNF) receptor superfamily, is expressed on the surface of activated T cells. Upon interaction with its cognate ligand, OX40L, OX40 transmits costimulatory signals to antigen-primed T cells, promoting their activation, differentiation, and survivalprocesses essential for the establishment of adaptive immunity. Although the OX40-OX40L interaction has been extensively studied in the context of disease treatment, developing a substitute for the naturally expressed membrane-bound OX40L, particularly a multimerized OX40L trimers, that effectively regulates OX40-driven T cell responses remains a significant challenge. In this study, we successfully engineered soluble OX40L-fusion proteins capable of robustly activating OX40 on T cells. This was achieved by incorporating functional multimerization domains into the TNF homology domain of OX40L. These OX40L proteins bound to OX40, subsequently activated NF-κB signaling, and induced cytokine production by T cells . , mice treated with one of the OX40L-fusion proteinscomprising a single-chain OX40L trimer linked to the C-terminus of the human IgG1 Fc domain, forming a dimer of trimersexhibited significantly enhanced clonal expansion of antigen-specific CD4 T cells during the primary phase of the immune response. A comparable antibody-fusion single-chain TNF protein incorporating 4-1BBL, CD70 (CD27L), or GITRL in place of OX40L elicited similar T cell responses. Thus, we propose that optimizing the multimerization of OX40L proteins through innovative design strategies may facilitate the development of more effective agonists for targeted immunotherapies.

摘要

OX40是肿瘤坏死因子(TNF)受体超家族的成员之一,在活化的T细胞表面表达。与同源配体OX40L相互作用后,OX40向抗原致敏的T细胞传递共刺激信号,促进其激活、分化和存活,这些过程对于建立适应性免疫至关重要。尽管OX40 - OX40L相互作用在疾病治疗背景下已得到广泛研究,但开发一种替代天然表达的膜结合型OX40L的物质,特别是一种多聚化的OX40L三聚体,以有效调节OX40驱动的T细胞反应仍然是一项重大挑战。在本研究中,我们成功构建了能够强力激活T细胞上OX40的可溶性OX40L融合蛋白。这是通过将功能性多聚化结构域整合到OX40L的TNF同源结构域中来实现的。这些OX40L蛋白与OX40结合,随后激活NF-κB信号,并诱导T细胞产生细胞因子。用其中一种OX40L融合蛋白处理的小鼠——该融合蛋白由与人IgG1 Fc结构域C末端相连的单链OX40L三聚体组成,形成三聚体二聚体——在免疫反应的初级阶段表现出抗原特异性CD4 T细胞的克隆扩增显著增强。一种类似的抗体融合单链TNF蛋白,用4-1BBL、CD70(CD27L)或GITRL替代OX40L,引发了类似的T细胞反应。因此,我们提出通过创新设计策略优化OX40L蛋白的多聚化可能有助于开发更有效的靶向免疫治疗激动剂。

https://cdn.ncbi.nlm.nih.gov/pmc/blobs/96c5/11757143/64b39c714e54/fimmu-15-1473815-g001.jpg

文献AI研究员

20分钟写一篇综述,助力文献阅读效率提升50倍。

立即体验

用中文搜PubMed

大模型驱动的PubMed中文搜索引擎

马上搜索

文档翻译

学术文献翻译模型,支持多种主流文档格式。

立即体验