Suppr超能文献

韩国红参对自然衰老小鼠模型听觉、认知及肝脏功能的影响。

Effects of Korean red ginseng on auditory, cognitive, and liver functions in a naturally aged mouse model.

作者信息

Shin Sung Woo, Shim Ji Heon, Nam Youn Hee, Kim Na Woo, Seo Gyeong Jin, Nevedita Murughanantham, Subha Pandian, Nguyen Quy-Hoai, Jeong Yong Su, Hong Bin Na, Kang Tong Ho

机构信息

Department of Oriental Medicine Biotechnology, Graduate School of Biotechnology, Kyung Hee University, Global Campus, Yongin, Gyeonggi-do, Republic of Korea.

Invivotec Co., Ltd., Seongnam, Gyeonggi-do, Republic of Korea.

出版信息

J Ginseng Res. 2025 Jan;49(1):71-79. doi: 10.1016/j.jgr.2024.10.001. Epub 2024 Oct 16.

Abstract

BACKGROUND

Korean Red Ginseng and ginsenosides have been studied for their efficacy against various diseases, including those related to aging. However, most aging studies use D-galactose to induce aging, which often does not accurately represent natural aging. This study aimed to verify improvements in auditory, cognitive, and liver function through administering red ginseng to an 18-month-old naturally aging mouse model.

METHODS

Auditory function was assessed using Auditory Brainstem Response (ABR) and Auditory Middle Latency Response (AMLR). Cognitive function was evaluated electrophysiologically with P300 and mismatch negativity (MMN), and behaviorally using the Y-maze. Additionally, biochemical tests and histological analysis were conducted to assess liver function. The effects of red ginseng on gene expression regulation were also examined in the cochlea, auditory cortex, and liver, focusing on age-related disease processes.

RESULTS

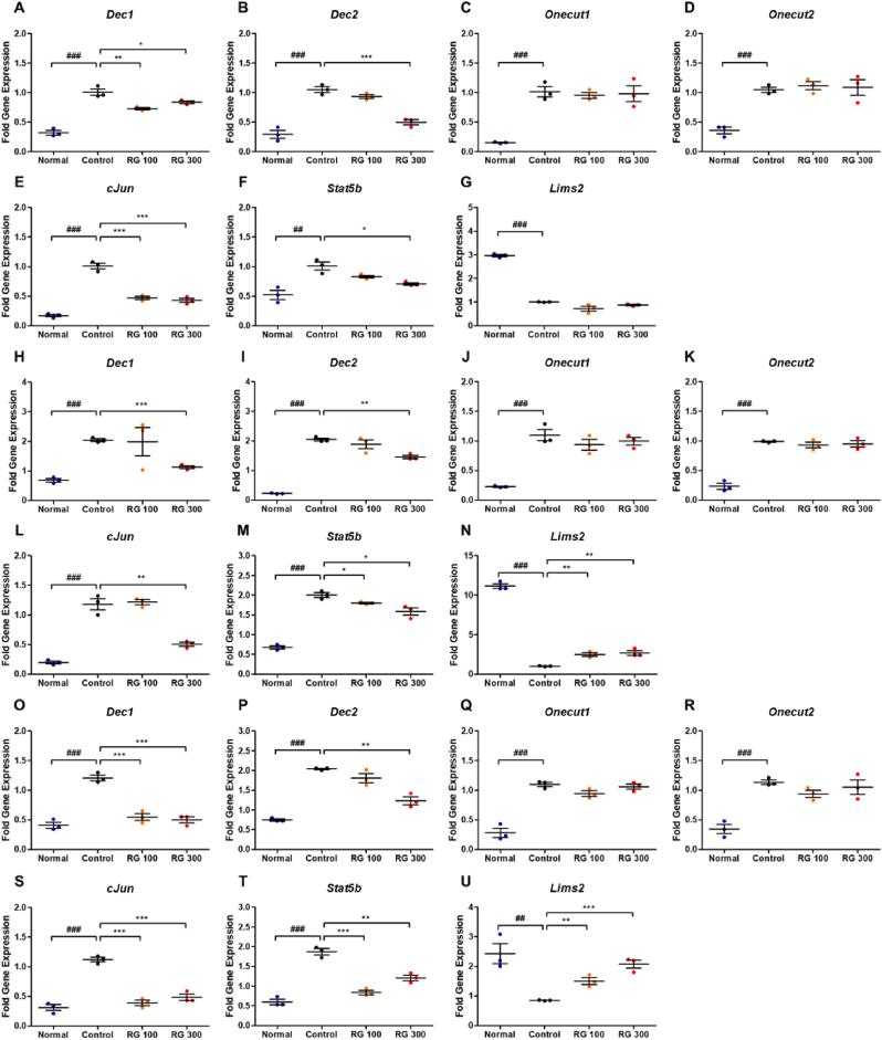
Red ginseng significantly decreased hearing thresholds and improved central auditory function. It also enhanced cognitive behavior and function in response to external stimulation. Furthermore, red ginseng regulated alkaline phosphatase (ALP), albumin (Alb), and total protein (TP) levels, notably decreasing aspartate aminotransferase (AST) and alanine aminotransferase (ALT) levels. Hematoxylin and eosin (H&E) staining of liver tissue showed significant improvement in fat droplets. These effects appear to be mediated by the regulation of aging-related genes , , , and .

CONCLUSION

These results suggest that red ginseng improves auditory, cognitive, and liver functions in a naturally aged mouse model.

摘要

背景

韩国红参及人参皂苷已针对包括与衰老相关疾病在内的各种疾病的疗效进行了研究。然而,大多数衰老研究使用D - 半乳糖诱导衰老,这往往不能准确代表自然衰老。本研究旨在通过对18月龄自然衰老小鼠模型给予红参来验证其对听觉、认知和肝功能的改善作用。

方法

使用听性脑干反应(ABR)和听性中潜伏期反应(AMLR)评估听觉功能。通过P300和失配负波(MMN)进行电生理评估认知功能,并使用Y迷宫进行行为学评估。此外,进行生化测试和组织学分析以评估肝功能。还在耳蜗、听觉皮层和肝脏中研究了红参对基因表达调控的影响,重点关注与年龄相关的疾病过程。

结果

红参显著降低听力阈值并改善中枢听觉功能。它还增强了对外部刺激的认知行为和功能。此外,红参调节碱性磷酸酶(ALP)、白蛋白(Alb)和总蛋白(TP)水平,显著降低天冬氨酸氨基转移酶(AST)和丙氨酸氨基转移酶(ALT)水平。肝组织苏木精和伊红(H&E)染色显示脂肪滴有显著改善。这些作用似乎是由对衰老相关基因 、 、 和 的调控介导的。

结论

这些结果表明红参可改善自然衰老小鼠模型的听觉、认知和肝功能。

https://cdn.ncbi.nlm.nih.gov/pmc/blobs/86c9/11764134/ac5f6eae291d/ga1.jpg

文献AI研究员

20分钟写一篇综述,助力文献阅读效率提升50倍。

立即体验

用中文搜PubMed

大模型驱动的PubMed中文搜索引擎

马上搜索

文档翻译

学术文献翻译模型,支持多种主流文档格式。

立即体验