Suppr超能文献

韩国初诊2型糖尿病成人患者开始胰岛素治疗的时间与严重低血糖:一项全国性研究

Time to Insulin Therapy and Severe Hypoglycemia in Korean Adults Initially Diagnosed with Type 2 Diabetes: A Nationwide Study.

作者信息

Lee You-Bin, Han Kyungdo, Kim Bongsung, Park So Hee, Hur Kyu Yeon, Kim Gyuri, Kim Jae Hyeon, Jin Sang-Man

机构信息

Division of Endocrinology and Metabolism, Department of Medicine, Samsung Medical Center, Sungkyunkwan University School of Medicine, Seoul, Korea.

Department of Statistics and Actuarial Science, Soongsil University, Seoul, Korea.

出版信息

Endocrinol Metab (Seoul). 2025 Jun;40(3):421-433. doi: 10.3803/EnM.2024.2082. Epub 2025 Feb 4.

Abstract

BACKGRUOUND

We examined the distribution of time to insulin therapy (TIT) post-diabetes diagnosis and the hazard of severe hypoglycemia (SH) according to TIT in Korean adults initially diagnosed with type 2 diabetes (T2D) and who progressed to insulin therapy.

METHODS

Using data from the Korean National Health Insurance Service (2002 to 2018), we selected adult incident insulin users (initially diagnosed as T2D) who underwent health examinations between 2009 and 2012. The hazards of SH, recurrent SH, and problematic hypoglycemia were analyzed according to groups categorized using the TIT and clinical risk factors for SH (TIT ≥5 years with risk factors, TIT ≥5 years without risk factors, 3 ≤TIT <5 years, 1 ≤TIT <3 years, and TIT <1 year).

RESULTS

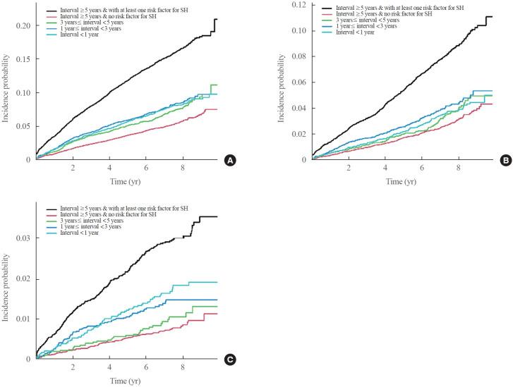
Among 41,637 individuals, 14,840 (35.64%) and 10,587 (25.43%) initiated insulin therapy within <5 and <3 years postdiabetes diagnosis, respectively. During a median 6.53 years, 3,406 SH events occurred. Compared to individuals with TIT ≥5 years and no risk factor for SH, individuals with TIT <3 years had higher outcome hazards in a graded manner (adjusted hazard ratio [95% confidence intervals] for any SH: 1.117 [0.967 to 1.290] in those with 3 ≤TIT <5 years; 1.459 [1.284 to 1.657] in those with 1 ≤ TIT <3 years; and 1.515 [1.309 to 1.754] in those with TIT <1 year). This relationship was more pronounced in the non-obese subpopulation.

CONCLUSION

Among adults who progressed to insulin therapy after being diagnosed with T2D, a shorter TIT was not uncommon and may predict an increased risk of SH, particularly in non-obese patients.

摘要

背景

我们研究了韩国初诊为2型糖尿病(T2D)并进展为胰岛素治疗的成年人糖尿病诊断后开始胰岛素治疗的时间(TIT)分布情况,以及根据TIT发生严重低血糖(SH)的风险。

方法

利用韩国国民健康保险服务(2002年至2018年)的数据,我们选取了2009年至2012年间接受健康检查的成年胰岛素使用者(初诊为T2D)。根据使用TIT和SH的临床风险因素分类的组(TIT≥5年且有风险因素、TIT≥5年无风险因素、3≤TIT<5年、1≤TIT<3年和TIT<1年)分析SH、复发性SH和问题性低血糖的风险。

结果

在41,637名个体中,分别有14,840名(35.64%)和10,587名(25.43%)在糖尿病诊断后<5年和<3年内开始胰岛素治疗。在中位6.53年期间,发生了3406次SH事件。与TIT≥5年且无SH风险因素的个体相比,TIT<3年的个体结局风险呈分级升高(任何SH的调整后风险比[95%置信区间]:3≤TIT<5年者为1.117[0.967至1.290];1≤TIT<3年者为1.459[1.284至1.657];TIT<1年者为1.515[1.309至1.754])。这种关系在非肥胖亚组中更为明显。

结论

在诊断为T2D后进展为胰岛素治疗的成年人中,较短的TIT并不少见,且可能预示着SH风险增加,尤其是在非肥胖患者中。

https://cdn.ncbi.nlm.nih.gov/pmc/blobs/2312/12230259/cdd3d2bbab6b/enm-2024-2082f1.jpg

文献AI研究员

20分钟写一篇综述,助力文献阅读效率提升50倍。

立即体验

用中文搜PubMed

大模型驱动的PubMed中文搜索引擎

马上搜索

文档翻译

学术文献翻译模型,支持多种主流文档格式。

立即体验