Suppr超能文献

施累姆管切口长度与内路房角镜辅助经腔隙小梁切开术结果之间的关系

Relationship between Schlemm's canal incision length and the results of ab interno gonioscopy-assisted transluminal suture trabeculotomy.

作者信息

Tanabe Hirotaka, Nakakura Shunsuke, Nishimura Kazuaki, Terao Etsuko, Fujisawa Yasuko, Nagata Yuki, Oogi Satomi, Adachi Miku, Matsuya Kanae

机构信息

Department of Ophthalmology, Yokkaichi Digestive Disease Center, Yokkaichi, Mie, Japan.

Department of Ophthalmology, Tsukazaki Hospital, Himeji, Hyogo, Japan.

出版信息

Sci Rep. 2025 Feb 7;15(1):4664. doi: 10.1038/s41598-025-88479-2.

Abstract

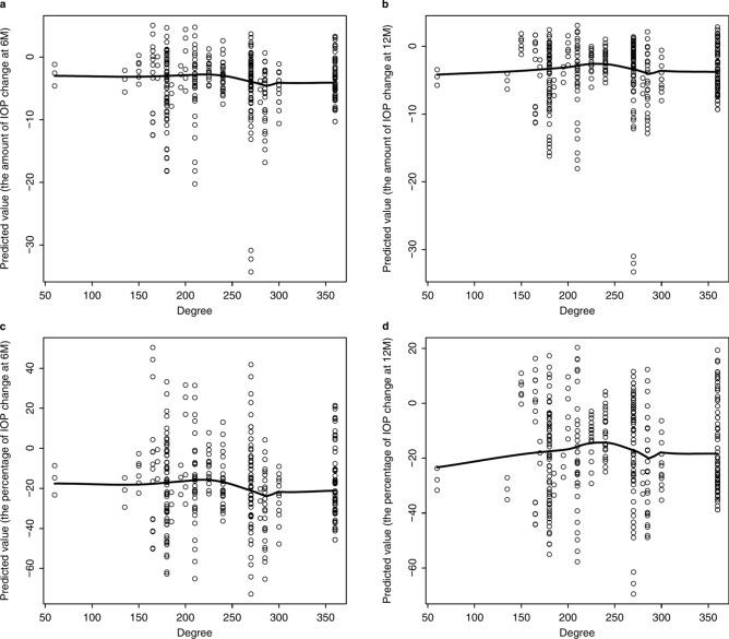
We retrospectively investigated the relationship between Schlemm's canal incision length and the results of ab interno gonioscopy-assisted transluminal suture trabeculotomy (GATST) with/without cataract surgery in open-angle glaucoma patients at Tsukazaki Hospital from 2018-2021. The study included 113 eyes from 76 patients (age: 70.0 ± 10.8 years; female/male: 43 [56.6%]/33 [43.4%]). GATST with and without cataract surgery was performed on 87 (phakia) [77.0%] and 26 eyes (pseudophakia) [23.0%], respectively; 102 [90.3%] eyes had primary open-angle glaucoma, and 11 [9.7%] had pseudoexfoliation glaucoma. Intraocular pressure (IOP) significantly decreased at 3/6/12 months, and the antiglaucoma eyedrop number significantly decreased at 6/12 months (all P values < 0.001). Linear mixed-effects models showed that incision length had significant positive associations with IOP spikes, hyphema grade, and IOP changes (amount/percentage) at 6 months; surgical success rate (IOP ≤ 15 mmHg, ≥ 20% reduction, no additional surgeries [criterion B]) at 6/12 months; and surgical success rate (IOP ≤ 21 mmHg, ≥ 20% reduction, no additional surgeries [criterion A]) at 12 months (Ps < 0.05). There were no significant associations with IOP changes at 12 months, surgical success rate (criterion A) at 6 months, or antiglaucoma eyedrop number at either timepoint (Ps > 0.05). Longer incisions were more likely to produce greater IOP reduction, requiring more attention to IOP spikes/hyphema.

摘要

我们回顾性研究了冢崎医院2018年至2021年期间开角型青光眼患者中施累姆管切口长度与内路房角镜辅助经腔隙小梁切开术(GATST)联合或不联合白内障手术结果之间的关系。该研究纳入了76例患者的113只眼(年龄:70.0±10.8岁;女性/男性:43例[56.6%]/33例[43.4%])。分别对87只眼(晶状体眼)[77.0%]和26只眼(人工晶状体眼)[23.0%]进行了联合或不联合白内障手术的GATST;102只眼[90.3%]患有原发性开角型青光眼,11只眼[9.7%]患有假性剥脱性青光眼。眼压在3/6/12个月时显著降低,抗青光眼滴眼液使用次数在6/12个月时显著减少(所有P值<0.001)。线性混合效应模型显示,切口长度与6个月时的眼压峰值、前房积血分级和眼压变化(幅度/百分比);6/12个月时的手术成功率(眼压≤15mmHg,降低≥20%,无需额外手术[标准B]);以及12个月时的手术成功率(眼压≤21mmHg,降低≥20%,无需额外手术[标准A])均呈显著正相关(P<0.05)。与12个月时的眼压变化、6个月时的手术成功率(标准A)或任一观察时间点的抗青光眼滴眼液使用次数均无显著相关性(P>0.05)。更长的切口更有可能使眼压降低幅度更大,需要更多关注眼压峰值/前房积血情况。

https://cdn.ncbi.nlm.nih.gov/pmc/blobs/9cb4/11806068/80994ed1e63e/41598_2025_88479_Fig1_HTML.jpg

文献AI研究员

20分钟写一篇综述,助力文献阅读效率提升50倍。

立即体验

用中文搜PubMed

大模型驱动的PubMed中文搜索引擎

马上搜索

文档翻译

学术文献翻译模型,支持多种主流文档格式。

立即体验