Suppr超能文献

最佳卡路里限制阈值:FATmax运动结合不同比例的卡路里限制对高胆固醇血症的影响。

Optimal calorie restriction threshold: effect of FATmax exercise combined with different proportions of calorie restriction on hypercholesterolemia.

作者信息

Wu Yuetong, Zhang Li, Li Jing, Xue Boyang, Shang Wenyuan, Lu Yingli

机构信息

Sports Rehabilitation Research Center, China Institute of Sport Science, Beijing, China.

College of Education and Sports Science, Yangtze University, Jingzhou, China.

出版信息

Front Physiol. 2025 Jan 27;16:1510949. doi: 10.3389/fphys.2025.1510949. eCollection 2025.

Abstract

BACKGROUND/OBJECTIVES: To evaluate the impact of maximal fat oxidation intensity exercise combined with calorie restriction intervention on lipid-related parameters in a hypercholesterolemic population, and to determine if an optimal range of calorie restriction exists for effectively enhancing blood lipid profiles.

METHODS

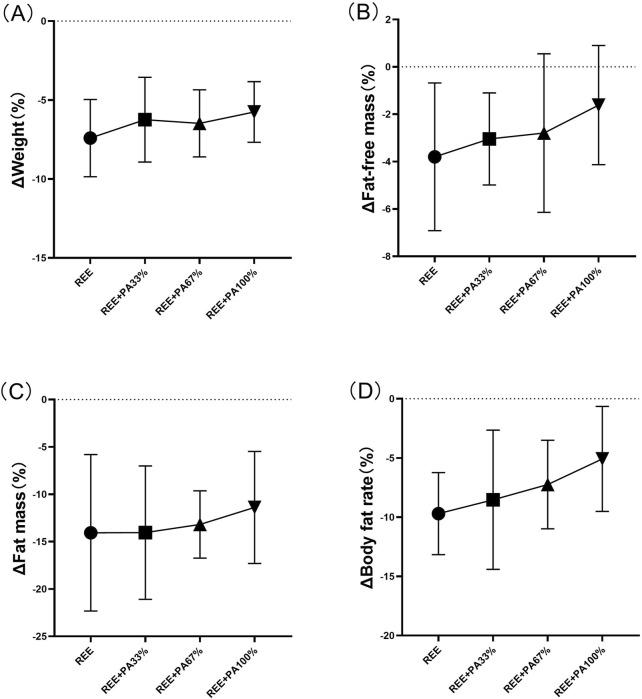
A 4-week intervention study combined exercise and calorie restriction for 64 patients aged 18-60 with secondary hypercholesterolemia. Ultimately, 43 participants completed the study. The dietary intervention adhered to the principles of a balanced diet, with meal plans designed to provide three meals per day for the duration of the study. Each subject's daily calorie intake was set to match their individual resting energy expenditure (REE) plus varying proportions of physical activity (PA) calories. Participants were divided into four groups based on these proportions: REE only, REE + PA33%, REE + PA67%, and REE + PA100%. FATmax exercises were conducted 5 times per week, lasting 1 h each.

RESULTS

  1. Compared with baseline, subjects' body weight, fat mass and body fat rate decreased significantly; fat-free mass also decreased significantly in the REE, REE + PA33%, and REE + PA67% groups. 2) Subjects' serum TC decreased significantly; serum LDL-C and ApoB decreased significantly in the REE, REE + PA33%, and REE + PA67% groups; there were no significant changes in serum HDL-C and ApoA1. 3) Serum PCSK9 was significantly decreased in the REE and the REE + PA 67% groups; serum LDLR was significantly decreased in all groups of subjects. 4) Between the groups, the rate of change in serum LDL-C was significantly different.

CONCLUSION

FATmax exercise combined with proper proportions of calorie restriction can significantly decrease serum cholesterol levels and fat mass in hypercholesterolemic patients. Nevertheless, it is misleading to assume that a drastic reduction in calorie intake invariably results in superior outcomes. Optimal cost-effectiveness may be achieved within a calorie restriction range of REE + PA33-67%.

摘要

背景/目的:评估最大脂肪氧化强度运动联合热量限制干预对高胆固醇血症人群脂质相关参数的影响,并确定是否存在有效改善血脂谱的最佳热量限制范围。

方法

一项为期4周的干预研究,对64名年龄在18 - 60岁的继发性高胆固醇血症患者进行运动和热量限制。最终,43名参与者完成了研究。饮食干预遵循均衡饮食原则,在研究期间设计每日三餐的饮食计划。每个受试者的每日热量摄入设定为与其个体静息能量消耗(REE)加上不同比例的体力活动(PA)热量相匹配。参与者根据这些比例分为四组:仅REE、REE + PA33%、REE + PA67%和REE + PA100%。每周进行5次FATmax运动,每次持续1小时。

结果

1)与基线相比,受试者的体重、脂肪量和体脂率显著下降;在仅REE、REE + PA33%和REE + PA67%组中,去脂体重也显著下降。2)受试者的血清总胆固醇(TC)显著下降;在仅REE、REE + PA33%和REE + PA67%组中,血清低密度脂蛋白胆固醇(LDL-C)和载脂蛋白B(ApoB)显著下降;血清高密度脂蛋白胆固醇(HDL-C)和载脂蛋白A1(ApoA1)无显著变化。3)在仅REE组和REE + PA67%组中,血清前蛋白转化酶枯草溶菌素9(PCSK9)显著下降;所有受试者组的血清低密度脂蛋白受体(LDLR)均显著下降。4)各小组之间,血清LDL-C的变化率有显著差异。

结论

FATmax运动联合适当比例的热量限制可显著降低高胆固醇血症患者的血清胆固醇水平和脂肪量。然而,认为大幅减少热量摄入必然会带来更好的结果是具有误导性的。在REE + PA33 - 67%的热量限制范围内可能实现最佳成本效益。

https://cdn.ncbi.nlm.nih.gov/pmc/blobs/ba57/11808004/a4bbec7c6223/fphys-16-1510949-g001.jpg

文献AI研究员

20分钟写一篇综述,助力文献阅读效率提升50倍。

立即体验

用中文搜PubMed

大模型驱动的PubMed中文搜索引擎

马上搜索

文档翻译

学术文献翻译模型,支持多种主流文档格式。

立即体验