Suppr超能文献

具有壳聚糖接枝聚己内酯修饰表面的3D多孔聚己内酯用于原位组织工程

3D Porous Polycaprolactone with Chitosan-Graft-PCL Modified Surface for In Situ Tissue Engineering.

作者信息

Pitts Johannes, Hänsch Robert, Roger Yvonne, Hoffmann Andrea, Menzel Henning

机构信息

Institute for Technical Chemistry, Braunschweig University of Technology, 38106 Braunschweig, Germany.

Institute of Plant Biology, Braunschweig University of Technology, 38106 Braunschweig, Germany.

出版信息

Polymers (Basel). 2025 Jan 30;17(3):383. doi: 10.3390/polym17030383.

Abstract

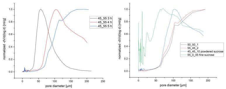
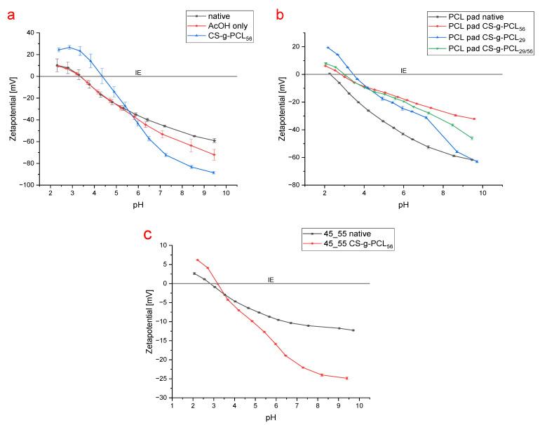
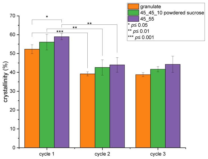
Tissue engineering has emerged as a promising approach for improved regeneration of native tissue and could increase the quality of life of many patients. However, the treatment of injured tissue transitions is still in its early stages, relying primarily on a purely physical approach in medical surgery. A biodegradable implant with a modified surface that is capable of biological active protein delivery via a nanoparticulate release system could advance the field of musculoskeletal disorder treatments enormously. In this study, interconnected 3D macroporous scaffolds based on Polycaprolactone (PCL) were fabricated in a successive process of blending, annealing and leaching. Blending with varying parts of Polyethylene oxide (PEO), NaCl and (powdered) sucrose and altering processing conditions yielded scaffolds with a huge variety of morphologies. The resulting unmodified hydrophobic scaffolds were modified using two graft polymers (CS-g-PCL) with x = 29 and 56 (x = PCL units per chitosan unit). Due to the chitosan backbone hydrophilicity was increased and a platform for a versatile nanoparticulate release system was introduced. The graft polymers were synthesized via ring opening polymerization (ROP) of ε-Caprolactone using hydroxy groups of the chitosan backbone as initiators (grafting from). The suspected impact on biocompatibility of the modification was investigated by in vitro cell testing. In addition, the CS-g-PCL modification opened up the possibility of Layer by Layer (LbL) coating with alginate (ALG) and TGF-β-loaded chitosan tripolyphosphate (CS-TGF-β-TPP) nanoparticles. The subsequent release study showed promising amounts of growth factor released regarding successful in vitro cell differentiation and therefore could have a possible therapeutic impact.

摘要

组织工程已成为一种有望改善天然组织再生的方法,并且可以提高许多患者的生活质量。然而,受伤组织转变的治疗仍处于早期阶段,在医学手术中主要依赖于纯粹的物理方法。一种具有修饰表面的可生物降解植入物,能够通过纳米颗粒释放系统递送生物活性蛋白,这可能会极大地推动肌肉骨骼疾病治疗领域的发展。在本研究中,基于聚己内酯(PCL)的相互连接的三维大孔支架是通过混合、退火和浸出的连续过程制备的。与不同比例的聚环氧乙烷(PEO)、氯化钠和(粉末状)蔗糖混合并改变加工条件,得到了具有多种形态的支架。使用两种接枝聚合物(CS-g-PCL)对所得的未修饰疏水支架进行修饰,其中x = 29和56(x =每个壳聚糖单元的PCL单元数)。由于壳聚糖主链,亲水性增加,并引入了一个用于通用纳米颗粒释放系统的平台。接枝聚合物是通过以壳聚糖主链的羟基为引发剂(从接枝),ε-己内酯的开环聚合(ROP)合成的。通过体外细胞测试研究了这种修饰对生物相容性的潜在影响。此外,CS-g-PCL修饰为用藻酸盐(ALG)和负载TGF-β的壳聚糖三聚磷酸酯(CS-TGF-β-TPP)纳米颗粒进行逐层(LbL)涂层开辟了可能性。随后的释放研究表明,就成功的体外细胞分化而言,释放的生长因子数量可观,因此可能具有潜在的治疗作用。

https://cdn.ncbi.nlm.nih.gov/pmc/blobs/7e9e/11820431/06d1c924e3ad/polymers-17-00383-g001.jpg

文献AI研究员

20分钟写一篇综述,助力文献阅读效率提升50倍。

立即体验

用中文搜PubMed

大模型驱动的PubMed中文搜索引擎

马上搜索

文档翻译

学术文献翻译模型,支持多种主流文档格式。

立即体验