Suppr超能文献

犬牙自体牙移植——一项关于初始愈合期间辅助抗菌及患者相关风险因素影响的前瞻性临床研究

Autogenous Tooth Transplantation of Canines-A Prospective Clinical Study on the Influence of Adjunctive Antibiosis and Patient-Related Risk Factors During Initial Healing.

作者信息

Meinzer Sebastian, Nolte Dirk, Huth Karin Christine

机构信息

Practice Clinic for Oral and Maxillofacial Surgery, Sauerbruchstraße 48, 81377 Munich, Germany.

Department of Conservative Dentistry and Periodontology, LMU University Hospital, LMU Munich, Goethestraße 70, 80336 Munich, Germany.

出版信息

J Clin Med. 2025 Jan 26;14(3):821. doi: 10.3390/jcm14030821.

Abstract

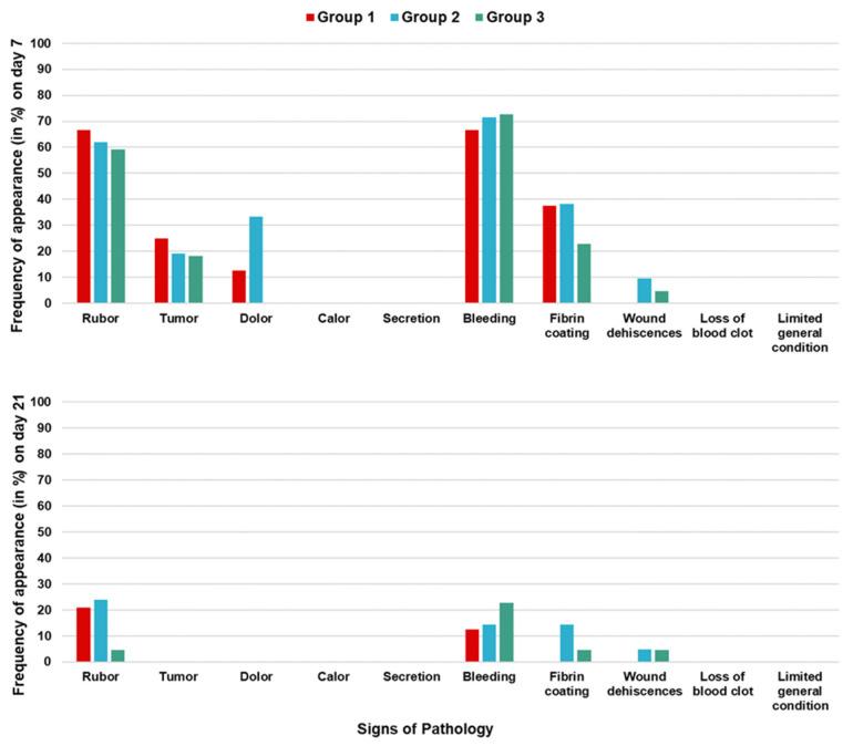
: This prospective clinical study investigated the efficacy of adjunctive antibiotic therapy (doxycycline) and the patient's risk factors during initial healing of autogenous canine tooth transplantations. : Sixty-seven patients (ranging from 11 to 37 years of age) treated with tooth transplantations were allocated to three parallel groups based on the tooth's intraoperative extraoral storage time (EST 0-3, 4-6, and 7-15 min) receiving different antibiotic regimens: (1) no antibiotics; (2) intraoperative intravenous (i.v.) single-shot antibiotics; and (3) intraoperative i.v. single-shot plus postoperative oral antibiotics for five days. Initial healing was rated according to pain intensity and clinical signs of pathology over a 21-day period. The influence of the following parameters was investigated using RStudio (linear regression and partial eta squared statistics): group, sex, age, nicotine abuse, tooth apex condition, preoperative ankylosis, displacement severity, jaw location, the number of simultaneous transplantations and other interventions, preoperative orthodontic extrusion, EST, and intraoperative complications. : No significant influence for sex (43 females, 24 males), tooth apex condition (19 open, 48 closed), displacement severity, jaw location (51 upper, 16 lower jaw), EST (mean 4.99 min), intraoperative complications ( = 13), or antibiotic regimen on pathology signs or pain intensity were found. Six patients reported medication side effects. Preoperative ankylosis ( = 15) and unsuccessful orthodontic extrusion ( = 16) increased postoperative pain ( = 0.020, ηP = 0.08; = 0.035, ηP = 0.07). Multiple transplants ( = 14) and interventions in multiple regions ( = 27) affected pain and pathology ( = 0.002, ηP = 0.14; = 0.001, ηP = 0.17). Increased age and nicotine abuse ( = 6) were associated with increased pathology signs ( = 0.024, ηP = 0.08; = 0.029, ηP = 0.07). : The results suggest that personalized rather than routine antibiotic therapy might be sufficient for initial healing in canine tooth transplantation. Deteriorating factors include preoperative ankylosis, orthodontic extrusion, an increased number of surgical sites, age, and nicotine abuse. : Routine antibiotic prevention regimes may not be mandatory for initial healing in autogenous tooth transplantation, but a nuanced antibiotic strategy tailored to each patient's specific risk factors, which is in line with the principle of antibiotic stewardship, is needed.

摘要

本前瞻性临床研究调查了辅助抗生素治疗(强力霉素)的疗效以及自体犬齿移植初期愈合过程中患者的风险因素。67例接受牙齿移植治疗的患者(年龄在11至37岁之间)根据牙齿术中口外保存时间(EST 0 - 3分钟、4 - 6分钟和7 - 15分钟)被分为三个平行组,接受不同的抗生素治疗方案:(1)不使用抗生素;(2)术中静脉单次注射抗生素;(3)术中静脉单次注射加术后口服抗生素五天。在21天的时间内,根据疼痛强度和病理临床体征对初期愈合情况进行评级。使用RStudio(线性回归和偏η平方统计)研究了以下参数的影响:组、性别、年龄、尼古丁滥用、牙根尖状况、术前牙 ankylosis、移位严重程度、颌骨位置、同期移植数量和其他干预措施、术前正畸牵引、EST以及术中并发症。未发现性别(43名女性,24名男性)、牙根尖状况(19例开放,48例闭合)、移位严重程度、颌骨位置(51例上颌,16例下颌)、EST(平均4.99分钟)、术中并发症(n = 13)或抗生素治疗方案对病理体征或疼痛强度有显著影响。6例患者报告有药物副作用。术前牙 ankylosis(n = 15)和正畸牵引失败(n = 16)会增加术后疼痛(p = 0.020,ηP = 0.08;p = 0.035,ηP = 0.07)。多次移植(n = 14)和多区域干预(n = 27)会影响疼痛和病理情况(p = 0.002,ηP = 0.14;p = 0.001,ηP = 0.17)。年龄增长和尼古丁滥用(n = 6)与病理体征增加有关(p = 0.024,ηP = 0.08;p = 0.029,ηP = 0.07)。结果表明,个性化而非常规的抗生素治疗可能足以促进犬齿移植的初期愈合。恶化因素包括术前牙 ankylosis、正畸牵引、手术部位数量增加、年龄和尼古丁滥用。常规抗生素预防方案对于自体牙移植的初期愈合可能不是必需的,但需要一种根据每个患者特定风险因素量身定制的细致抗生素策略,这符合抗生素管理原则。

https://cdn.ncbi.nlm.nih.gov/pmc/blobs/22b0/11818325/69ace75ce4c1/jcm-14-00821-g001.jpg

文献AI研究员

20分钟写一篇综述,助力文献阅读效率提升50倍。

立即体验

用中文搜PubMed

大模型驱动的PubMed中文搜索引擎

马上搜索

文档翻译

学术文献翻译模型,支持多种主流文档格式。

立即体验