Suppr超能文献

血清饥饿增强天然基质的抗肿瘤活性:对单峰驼尿液提取物中生物活性分子的见解。

Serum Starvation Enhances the Antitumor Activity of Natural Matrices: Insights into Bioactive Molecules from Dromedary Urine Extracts.

作者信息

Sgobba Maria Noemi, Musio Biagia, Pastrana Carlos Iglesias, Todisco Stefano, Schlosserovà Nikola, Mastropirro Federica, Favia Maria, Radesco Antonio, Duarte Iola F, De Grassi Anna, Volpicella Mariateresa, Gallo Vito, Pierri Ciro Leonardo, Ciani Elena, Guerra Lorenzo

机构信息

Department of Biosciences, Biotechnologies and Environment, University of Bari "Aldo Moro", Via Orabona 4, 70125 Bari, Italy.

Department of Civil, Environmental, Land, Building Engineering and Chemistry (DICATECh), Polytechnic University of Bari, Via Orabona 4, 70125 Bari, Italy.

出版信息

Molecules. 2025 Feb 10;30(4):821. doi: 10.3390/molecules30040821.

Abstract

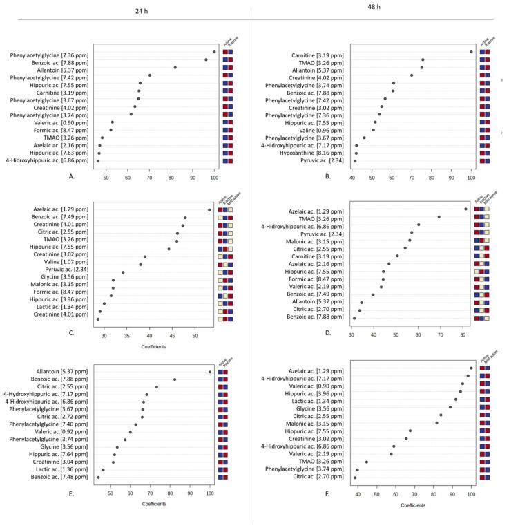
Natural matrices have historically been a cornerstone in drug discovery, offering a rich source of structurally diverse and biologically active compounds. However, research on natural products often faces significant challenges due to the complexity of natural matrices, such as urine, and the limitations of bioactivity assessment assays. To ensure reliable insights, it is crucial to optimize experimental conditions to reveal the bioactive potential of samples, thereby improving the validity of statistical analyses. Approaches in metabolomics further strengthen this process by identifying and focusing on the most promising compounds within natural matrices, enhancing the precision of bioactive metabolite prioritization. In this study, we assessed the bioactivity of 17 dromedary urine samples on human renal cells under serum-reduced conditions (1%FBS) in order to minimize possible FBS-derived interfering factors. Using viability assays and Annexin V/PI staining, we found that the tumor renal cell lines Caki-1 and RCC-Shaw were more sensitive to the cytotoxic effects of the small molecules present in dromedary urine compared to non-tumor HK-2 cells. Employing NMR metabolomics analysis combined with detected in vitro activity, our statistical model highlights the presence of bioactive compounds in dromedary urine, such as azelaic acid and phenylacetyl glycine, underscoring its potential as a sustainable source of bioactive molecules within the framework of green chemistry and circular economy initiatives.

摘要

天然基质一直以来都是药物发现的基石,提供了结构多样且具有生物活性的化合物的丰富来源。然而,由于天然基质(如尿液)的复杂性以及生物活性评估测定方法的局限性,对天然产物的研究常常面临重大挑战。为确保获得可靠的见解,优化实验条件以揭示样品的生物活性潜力至关重要,从而提高统计分析的有效性。代谢组学方法通过识别并聚焦于天然基质中最有前景的化合物,进一步强化了这一过程,提高了生物活性代谢物优先级排序的精确性。在本研究中,我们在血清减少的条件(1%胎牛血清)下评估了17份单峰骆驼尿液样本对人肾细胞的生物活性,以尽量减少可能来自胎牛血清的干扰因素。使用活力测定和膜联蛋白V/碘化丙啶染色,我们发现与非肿瘤HK-2细胞相比,肿瘤肾细胞系Caki-1和RCC-Shaw对单峰骆驼尿液中存在的小分子的细胞毒性作用更敏感。采用核磁共振代谢组学分析并结合检测到的体外活性,我们的统计模型突出了单峰骆驼尿液中生物活性化合物的存在,如壬二酸和苯乙酰甘氨酸,强调了其在绿色化学和循环经济倡议框架内作为生物活性分子可持续来源的潜力。

https://cdn.ncbi.nlm.nih.gov/pmc/blobs/d386/11858132/baad66c34a1d/molecules-30-00821-g001.jpg

文献AI研究员

20分钟写一篇综述,助力文献阅读效率提升50倍。

立即体验

用中文搜PubMed

大模型驱动的PubMed中文搜索引擎

马上搜索

文档翻译

学术文献翻译模型,支持多种主流文档格式。

立即体验