Suppr超能文献

一种基于智能手机的便捷数字图像比色传感器,用于利用诱导生长金纳米颗粒的天然酚类化合物测定水中的四环素。

A facile smartphone-based digital image colorimetric sensor for the determination of tetracyclines in water using natural phenolic compounds induced to grow gold nanoparticles.

作者信息

Ponhong Kraingkrai, Nilnit Tammanoon, Lee Chang Young, Kusakunniran Worapan, Saetear Phoonthawee, Supharoek Sam-Ang

机构信息

Multidisciplinary Research Unit of Pure and Applied Chemistry, Department of Chemistry, Center of Excellence for Innovation in Chemistry, Faculty of Science, Mahasarakham University Maha Sarakham 44150 Thailand.

School of Energy and Chemical Engineering, Ulsan National Institute of Science and Technology (UNIST) Ulsan 44919 Republic of Korea.

出版信息

RSC Adv. 2025 Mar 18;15(11):8411-8419. doi: 10.1039/d5ra00091b. eCollection 2025 Mar 17.

Abstract

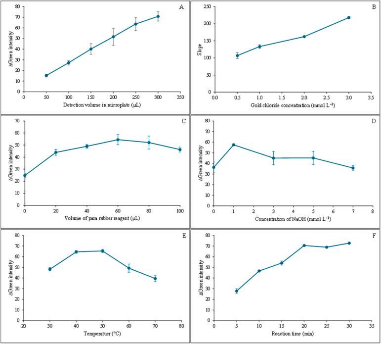
A cost-effective smartphone-based digital image colorimetric sensor was developed to determine tetracyclines by inducing growth of gold nanoparticles using naturally occurring phenolic compounds derived from para rubber tree bark waste. The green intensity of the purple-red product was measured using smartphone-based digital image analysis. Under optimal conditions, the calibration graph exhibited linearity within the range 0.05 to 0.50 μg mL, with a coefficient of determination ( ) of 0.9940. The limits of detection (LOD) and limits of quantitation (LOQ) were 15 and 50 ng mL, respectively, with levels of precision for intraday and interday less than 3.91% and 4.59%, respectively. The proposed method was effectively validated to determine the spiked tetracycline antibiotics in water samples, achieving a high relative recovery rate ranging from 86.4% to 114.4%. Our method is facile, convenient, dependable, and verifiable as an alternate procedure for measuring tetracycline levels in water.

摘要

开发了一种经济高效的基于智能手机的数字图像比色传感器,通过使用从橡胶树皮废料中提取的天然酚类化合物诱导金纳米颗粒生长来测定四环素。使用基于智能手机的数字图像分析测量紫红色产物的绿色强度。在最佳条件下,校准曲线在0.05至0.50μg/mL范围内呈线性,决定系数( )为0.9940。检测限(LOD)和定量限(LOQ)分别为15和50 ng/mL,日内和日间精密度水平分别小于3.91%和4.59%。该方法有效地验证了水样品中加标的四环素抗生素的测定,实现了86.4%至114.4%的高相对回收率。作为测量水中四环素水平的替代方法,我们的方法简便、方便、可靠且可验证。

https://cdn.ncbi.nlm.nih.gov/pmc/blobs/c4b5/11917209/4901b447eae7/d5ra00091b-f1.jpg

文献AI研究员

20分钟写一篇综述,助力文献阅读效率提升50倍。

立即体验

用中文搜PubMed

大模型驱动的PubMed中文搜索引擎

马上搜索

文档翻译

学术文献翻译模型,支持多种主流文档格式。

立即体验