Suppr超能文献

环境中血吸虫病的季节性和动态变化:菲律宾莱特省埃基兰村社区层面环境DNA(eDNA)监测系统在血吸虫病风险地图绘制中的作用

Seasonality and dynamics of schistosomiasis in the environment: usefulness of environmental DNA (eDNA) surveillance system at a community level for risk mapping schistosomiasis in Ekiran Village, Leyte, Philippines.

作者信息

Revolteado Mark June, Sato Marcello Otake, Valencia Joseph, Jiz Mario, Cervantes Eleonor, Aniceto Ralph, Inobaya Marianette, Gray Darren, Gordon Catherine A, Cai Pengfei, Sako Yasuhito, Sato Megumi

机构信息

Graduate School of Health Sciences, Niigata University, Niigata, Niigata Prefecture, Japan.

Division of Global Environment Parasitology, Faculty of Medical Technology, Niigata University of Pharmacy and Medical and Life Sciences, Niigata, Niigata Prefecture, Japan.

出版信息

mSphere. 2025 Apr 29;10(4):e0106124. doi: 10.1128/msphere.01061-24. Epub 2025 Mar 26.

Abstract

UNLABELLED

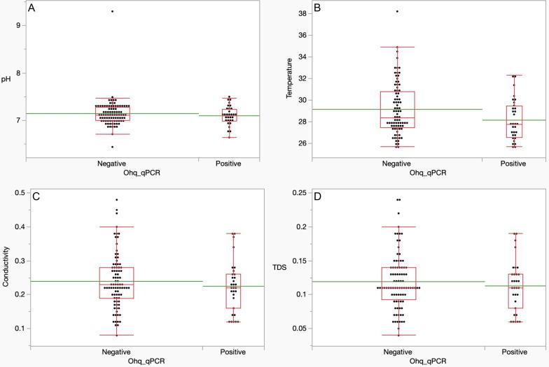
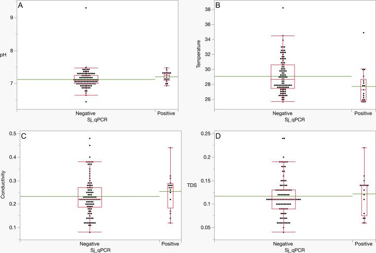
Schistosomiasis, primarily caused by (Sj) in Asia, remains a major health concern in the Philippines, affecting 12.4 million people and causing symptoms like fever, abdominal pain, and hepatosplenomegaly. Chronic disease leads to stunting in children, and reinfection persists despite efforts to reduce morbidity. Current strategies focused on mass drug administration (MDA) and sporadic snail surveys, leaving gaps in monitoring and mitigating schistosomiasis transmission in the environment. To address these issues, this study refined an environmental DNA (eDNA)-based qualitative real-time polymerase chain reaction assay by making it field-applicable and multiplex, to detect both the parasite and its intermediate snail host, (Ohq), using water samples. We surveyed the 30 sentinel sites quarterly-from July 2023 to March 2024-in Ekiran Village, Alangalang, Leyte, Philippines. Collectively, the eDNA of was detected in 18 sites and that of eDNA was detected in 16 sites, while direct snail observation confirmed the presence in only five sites, with infected snails found in only one site. Consequently, the assay described temporal variation of Ohq and Sj, revealing the dynamics of Ohq colonies and Sj in Ekiran's water sources. The eDNA confirmed the focality of Ohq and showed the erratic presence of Sj. Interestingly, both target species' eDNA was observed more during the rainy season (December and March), which suggests a higher infection probability during this period. Integrating eDNA detection system with the existing control programs will enhance the identification of transmission hotspots, which may aid in reducing exposure risk for both humans and animals in the endemic areas.

IMPORTANCE

This study aimed to fill the gaps in monitoring and mitigating schistosomiasis transmission in the environment. This field-applicable environmental DNA (eDNA)-based qualitative real-time polymerase chain reaction (qPCR) detection system focused on effectively detecting and its snail intermediate host, , at the community level, moving from the traditional detection methods that are labor-intensive, less sensitive, and exposing surveyors to potential risk of infection. By introducing a field-applicable eDNA-based qPCR assay, this research provides a sensitive, non-invasive, and rapid molecular method for detecting and in the environment. Additionally, the study not only provided insights in enhanced surveillance strategies but also contributed to a holistic eco-health approach by generating hazard maps for potential transmission and contamination sites, which could improve future control efforts and resource allocation for schistosomiasis elimination.

摘要

未标注

血吸虫病在亚洲主要由日本血吸虫(Sj)引起,在菲律宾仍然是一个重大的健康问题,影响着1240万人,并导致发烧、腹痛和肝脾肿大等症状。慢性病会导致儿童发育迟缓,尽管努力降低发病率,但再感染仍持续存在。目前的策略侧重于大规模药物给药(MDA)和零星的钉螺调查,在监测和减轻环境中血吸虫病传播方面存在差距。为了解决这些问题,本研究改进了一种基于环境DNA(eDNA)的定性实时聚合酶链反应检测方法,使其适用于现场且具有多重性,以利用水样检测寄生虫日本血吸虫及其中间宿主钉螺(Ohq)。我们于2023年7月至2024年3月在菲律宾莱特省阿朗朗的埃基兰村每季度对30个哨点进行调查。总体而言,在18个地点检测到了日本血吸虫的eDNA,在16个地点检测到了钉螺的eDNA,而直接的钉螺观察仅在5个地点确认了钉螺的存在,仅在1个地点发现了受感染的钉螺。因此,该检测方法揭示了钉螺和日本血吸虫的时间变化,揭示了埃基兰水源中钉螺群落和日本血吸虫的动态。eDNA证实了钉螺的聚集性,并显示出日本血吸虫的不稳定存在。有趣的是,在雨季(12月和3月)观察到两种目标物种的eDNA更多,这表明在此期间感染概率更高。将eDNA检测系统与现有的控制项目相结合将加强对传播热点的识别,这可能有助于降低流行地区人类和动物的暴露风险。

重要性

本研究旨在填补监测和减轻环境中血吸虫病传播方面的空白。这种适用于现场的基于环境DNA(eDNA)的定性实时聚合酶链反应(qPCR)检测系统专注于在社区层面有效检测日本血吸虫及其钉螺中间宿主,摆脱了传统检测方法劳动强度大、灵敏度低且使调查人员面临潜在感染风险的问题。通过引入一种适用于现场的基于eDNA的qPCR检测方法,本研究提供了一种灵敏、非侵入性且快速的分子方法来检测环境中的日本血吸虫和钉螺。此外,该研究不仅为加强监测策略提供了见解,还通过生成潜在传播和污染地点的危害图为整体生态健康方法做出了贡献,这可以改善未来消除血吸虫病的控制努力和资源分配。

https://cdn.ncbi.nlm.nih.gov/pmc/blobs/cb19/12039233/52135c85263e/msphere.01061-24.f001.jpg

文献AI研究员

20分钟写一篇综述,助力文献阅读效率提升50倍。

立即体验

用中文搜PubMed

大模型驱动的PubMed中文搜索引擎

马上搜索

文档翻译

学术文献翻译模型,支持多种主流文档格式。

立即体验