Suppr超能文献

木犀草素抗氧化活性的计算洞察:密度泛函理论分析及与细胞色素P450 17A1的对接

Computational Insights into the Antioxidant Activity of Luteolin: Density Functional Theory Analysis and Docking in Cytochrome P450 17A1.

作者信息

de Aguiar Antônio Sérgio Nakao, de Carvalho Lucas Barbosa Ribeiro, Gomes Clayson Moura, Castro Murillo Moraes, Martins Frederico Severino, Borges Leonardo Luiz

机构信息

Laboratory of New Materials, Evangelical University of Goiás, Anápolis 75083-51, GO, Brazil.

Theoretical and Structural Chemistry Group of Anápolis, State University of Goiás, Anápolis 75132-903, GO, Brazil.

出版信息

Pharmaceuticals (Basel). 2025 Mar 14;18(3):410. doi: 10.3390/ph18030410.

Abstract

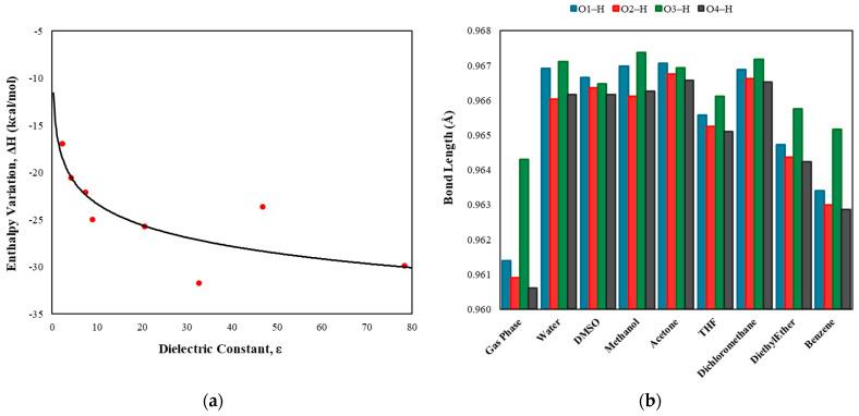
Luteolin, a flavonoid with well-documented antioxidant properties, has garnered significant attention for its potential therapeutic effects. : This study aims to investigate the antioxidant properties of luteolin under the influence of solvents, utilizing computational techniques to elucidate its interactions and its potential role as a modulator of enzymatic activities, particularly with Cytochrome 17A1. : Density Functional Theory (DFT) calculations were employed to determine luteolin's electronic and structural characteristics. Key aspects analyzed included electron density distribution and the energies of the frontier molecular orbitals (HOMO and LUMO). Free radical scavenging mechanisms were explored by comparing the dissociation enthalpy of the O-H bond in the absence and presence of water molecules. Additionally, molecular docking simulations were performed to assess the interactions of luteolin with Cytochrome 17A1, identifying preferred binding sites and interaction energies. : The findings indicate that luteolin possesses distinct structural and electronic features that contribute to its effectiveness in protecting against oxidative stress. However, hydrogen bonding interactions with water molecules were found to influence the dissociation enthalpy of the O-H bond. Docking simulations revealed significant interaction profiles between luteolin and Cytochrome 17A1, suggesting its potential role as a modulator of this protein. : This study underscores the therapeutic potential of luteolin and highlights the importance of computational techniques in predicting and understanding the molecular interactions of bioactive compounds with biological targets. The results provide valuable insights that may aid in developing new therapeutic strategies for diseases associated with oxidative stress.

摘要

木犀草素是一种具有充分文献记载抗氧化特性的黄酮类化合物,因其潜在的治疗作用而备受关注。本研究旨在利用计算技术研究溶剂影响下木犀草素的抗氧化特性,以阐明其相互作用以及作为酶活性调节剂的潜在作用,特别是与细胞色素17A1的相互作用。采用密度泛函理论(DFT)计算来确定木犀草素的电子和结构特征。分析的关键方面包括电子密度分布和前沿分子轨道(最高占据分子轨道和最低未占分子轨道)的能量。通过比较在有无水分子存在的情况下O-H键的解离焓来探索自由基清除机制。此外,进行分子对接模拟以评估木犀草素与细胞色素17A1的相互作用,确定优先结合位点和相互作用能。研究结果表明,木犀草素具有独特的结构和电子特征,这有助于其在抵御氧化应激方面发挥作用。然而,发现与水分子的氢键相互作用会影响O-H键的解离焓。对接模拟揭示了木犀草素与细胞色素17A1之间显著的相互作用模式,表明其作为该蛋白质调节剂的潜在作用。本研究强调了木犀草素的治疗潜力,并突出了计算技术在预测和理解生物活性化合物与生物靶点分子相互作用方面的重要性。研究结果提供了有价值的见解,可能有助于开发针对与氧化应激相关疾病的新治疗策略。

https://cdn.ncbi.nlm.nih.gov/pmc/blobs/a740/11944526/06afa2f62849/pharmaceuticals-18-00410-g001.jpg

文献AI研究员

20分钟写一篇综述,助力文献阅读效率提升50倍。

立即体验

用中文搜PubMed

大模型驱动的PubMed中文搜索引擎

马上搜索

文档翻译

学术文献翻译模型,支持多种主流文档格式。

立即体验