Suppr超能文献

分子检测对甲状腺结节性质不明患者手术决策的影响:近期进展的系统评价与荟萃分析

Impact of Molecular Testing on Surgical Decision-Making in Indeterminate Thyroid Nodules: A Systematic Review and Meta-Analysis of Recent Advancements.

作者信息

Chowdhury Raisa, Hier Jessica, Payne Kayla E, Abdulhaleem Mawaddah, Dimitstein Orr, Eisenbach Netanel, Forest Véronique-Isabelle, Payne Richard J

机构信息

Faculty of Medicine and Health Sciences, McGill University, Montreal, QC H3A 0G4, Canada.

Department of Otolaryngology-Head and Neck Surgery, McGill University Health Center, Montreal, QC H4A 0B1, Canada.

出版信息

Cancers (Basel). 2025 Mar 29;17(7):1156. doi: 10.3390/cancers17071156.

Abstract

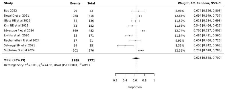
: The management of indeterminate thyroid nodules (Bethesda III/IV) has evolved with molecular testing, aiming to reduce unnecessary surgeries. However, the comparative effectiveness of different platforms in influencing surgical decision-making remains unclear. This systematic review and meta-analysis evaluate the impact of molecular testing on surgical avoidance rates. : A systematic literature search was conducted across eight electronic databases, including Embase, PubMed, and Cochrane Library, from January 2019 to December 2024, following PRISMA guidelines to encompass most recent advancements in the last 5 years. Studies evaluating Afirma Gene Expression Classifier (GEC), Afirma Genomic Sequencing Classifier (GSC), ThyroSeq V2, ThyroSeq V3, and ThyGenX/ThyraMIR were included. The primary outcome was surgical avoidance, analyzed using a random-effects model. : Thirty-one studies comprising 4464 indeterminate thyroid nodules met inclusion criteria. Pooled surgical avoidance rates varied across platforms: ThyroSeq V2 (50.3%, 95% CI: 20.8-79.6%), ThyroSeq V3 (62.5%, 95% CI: 54.8-70.0%), Afirma GEC (58.8%, 95% CI: 43.6-73.1%), Afirma GSC (50.6%, 95% CI: 34.3-66.8%), and ThyGenX/ThyraMIR (68.6%, 95% CI: 63.1-73.9%). ThyGenX/ThyraMIR had the highest surgical avoidance rate and lowest heterogeneity (I = 51.2%), while ThyroSeq showed improvement from V2 to V3. : Molecular testing reduces unnecessary thyroid surgeries, with avoidance rates ranging from 50.3% to 68.6%. While ThyGenX/ThyraMIR showed the highest avoidance rate, its limited representation warrants cautious interpretation. Standardized protocols are needed to optimize clinical application. Further prospective studies should compare platforms and assess long-term outcomes and cost-effectiveness.

摘要

不确定甲状腺结节(贝塞斯达III/IV类)的管理随着分子检测的发展而演变,旨在减少不必要的手术。然而,不同平台在影响手术决策方面的相对有效性仍不明确。本系统评价和荟萃分析评估了分子检测对避免手术率的影响。

按照PRISMA指南,于2019年1月至2024年12月在包括Embase、PubMed和Cochrane图书馆在内的八个电子数据库中进行了系统的文献检索,以涵盖过去5年的最新进展。纳入了评估Afirma基因表达分类器(GEC)、Afirma基因组测序分类器(GSC)、ThyroSeq V2、ThyroSeq V3以及ThyGenX/ThyraMIR的研究。主要结局是避免手术,采用随机效应模型进行分析。

31项研究共纳入4464个不确定甲状腺结节,符合纳入标准。不同平台的汇总避免手术率各不相同:ThyroSeq V2(50.3%,95%置信区间:20.8 - 79.6%)、ThyroSeq V3(62.5%,95%置信区间:54.8 - 70.0%)、Afirma GEC(58.8%,95%置信区间:43.6 - 73.1%)、Afirma GSC(50.6%,95%置信区间:34.3 - 66.8%)以及ThyGenX/ThyraMIR(68.6%,95%置信区间:63.1 - 73.9%)。ThyGenX/ThyraMIR的避免手术率最高且异质性最低(I² = 51.2%),而ThyroSeq从V2到V3有改善。

分子检测可减少不必要的甲状腺手术,避免手术率在50.3%至68.6%之间。虽然ThyGenX/ThyraMIR显示出最高的避免手术率,但其代表性有限,需谨慎解读。需要标准化方案以优化临床应用。进一步的前瞻性研究应比较各平台,并评估长期结局和成本效益。

https://cdn.ncbi.nlm.nih.gov/pmc/blobs/9415/11987950/af648ab32393/cancers-17-01156-g001.jpg

文献AI研究员

20分钟写一篇综述,助力文献阅读效率提升50倍。

立即体验

用中文搜PubMed

大模型驱动的PubMed中文搜索引擎

马上搜索

文档翻译

学术文献翻译模型,支持多种主流文档格式。

立即体验