Suppr超能文献

乳腺癌新辅助化疗疗效的预测:整合多模态成像与临床特征

Prediction of neoadjuvant chemotherapy efficacy in breast cancer: integrating multimodal imaging and clinical features.

作者信息

Chen Xianglong, Luo Yong, Xie Zhiming, Wen Yun, Mou Fangsheng, Zeng Wenbing

机构信息

School of Medical Imaging, North Sichuan Medical Univesity, Nanchong, Sichuan Province, China.

Department of Radiology, Three Gorges Hospital Affiliated to Chongqing University, Chongqing, China.

出版信息

BMC Med Imaging. 2025 Apr 14;25(1):118. doi: 10.1186/s12880-025-01631-2.

Abstract

OBJECTIVES

To assess the predictive value of combining DCE-MRI, DKI, IVIM parameters, and clinical characteristics for neoadjuvant chemotherapy (NAC) efficacy in invasive ductal carcinoma.

METHODS

We conducted a retrospective study of 77 patients with invasive ductal carcinoma, analyzing MRI data collected before NAC. Parameters extracted included DCE-MRI (Ktrans, Kep, Ve, wash-in, wash-out, TTP, iAUC), DKI (MK, MD), and IVIM (D, D*, f). Differences between NAC responders and non-responders were assessed using t-tests or Mann-Whitney U tests. ROC curves and Spearman correlation analyses evaluated predictive accuracy.

RESULTS

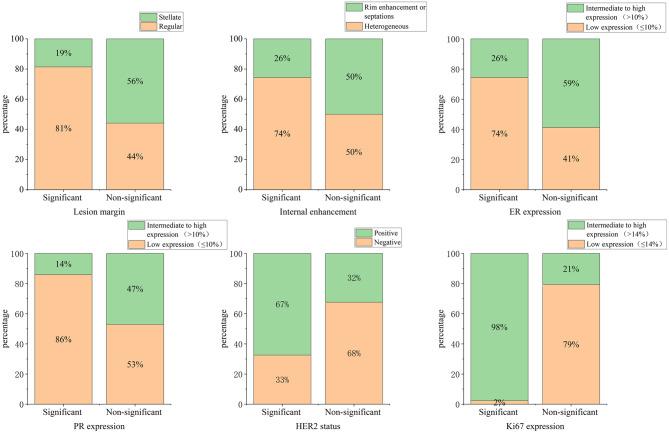
NAC responders had higher DCE-MRI-Kep, DKI-MD, IVIM-D, and IVIM-f values. Non-responders had higher DCE-MRI-Ve, DKI-MK, IVIM-D (kurtosis, skewness, entropy), and IVIM-f (entropy). The mean DKI-MK had the highest AUC (0.724), and IVIM-D interquartile range showed the highest sensitivity (94.12%). Combined parameters had the highest AUC (0.969), sensitivity (94.12%), and specificity (90.70%). HER2 status (OR, 0.187; 95% CI: 0.038, 0.914; P = 0.038) and tumor margin (OR, 20.643; 95% CI: 2.892, 147.365; P = 0.003) were identified as independent factors influencing the lack of significant efficacy of neoadjuvant chemotherapy (NAC) in breast cancer.

CONCLUSIONS

Combining DCE-MRI, DKI, and IVIM parameters effectively predicts NAC efficacy, providing valuable preoperative assessment insights.

CLINICAL TRIAL NUMBER

Not applicable.

摘要

目的

评估动态对比增强磁共振成像(DCE-MRI)、扩散峰度成像(DKI)、体素内不相干运动(IVIM)参数及临床特征相结合对浸润性导管癌新辅助化疗(NAC)疗效的预测价值。

方法

我们对77例浸润性导管癌患者进行了一项回顾性研究,分析了NAC前收集的MRI数据。提取的参数包括DCE-MRI(Ktrans、Kep、Ve、流入、流出、达峰时间、iAUC)、DKI(MK、MD)和IVIM(D、D*、f)。使用t检验或曼-惠特尼U检验评估NAC反应者和无反应者之间的差异。ROC曲线和Spearman相关性分析评估预测准确性。

结果

NAC反应者的DCE-MRI-Kep、DKI-MD、IVIM-D和IVIM-f值较高。无反应者的DCE-MRI-Ve、DKI-MK、IVIM-D(峰度、偏度、熵)和IVIM-f(熵)较高。平均DKI-MK的AUC最高(0.724),IVIM-D四分位间距的敏感性最高(94.12%)。联合参数的AUC最高(0.969)、敏感性最高(94.12%)和特异性最高(90.70%)。HER2状态(OR,0.187;95%CI:0.038,0.914;P = 0.038)和肿瘤边缘(OR,20.643;95%CI:2.892,147.365;P = 0.003)被确定为影响乳腺癌新辅助化疗(NAC)疗效不佳的独立因素。

结论

结合DCE-MRI、DKI和IVIM参数可有效预测NAC疗效,提供有价值的术前评估见解。

临床试验编号

不适用。

https://cdn.ncbi.nlm.nih.gov/pmc/blobs/8f7b/11998226/1c4b9dcbbff8/12880_2025_1631_Fig1_HTML.jpg

文献AI研究员

20分钟写一篇综述,助力文献阅读效率提升50倍。

立即体验

用中文搜PubMed

大模型驱动的PubMed中文搜索引擎

马上搜索

文档翻译

学术文献翻译模型,支持多种主流文档格式。

立即体验