Suppr超能文献

产前及幼儿期暴露于抗生素或胃酸抑制剂与癫痫风险增加:一项基于全国人口的研究

Prenatal and Early Childhood Exposure to Antibiotics or Gastric Acid Inhibitors and Increased Risk of Epilepsy: A Nationwide Population-Based Study.

作者信息

Gudnadottir Unnur, Wickström Ronny, Gunnerbeck Anna, Prast-Nielsen Stefanie, Brusselaers Nele

机构信息

Centre for Translational Microbiome Research, Department of Microbiology, Tumour and Cell Biology (MTC), Karolinska Institutet, Solna, Sweden.

Department of Women's and Children's Health, Karolinska Institutet, Solna, Sweden.

出版信息

Clin Pharmacol Ther. 2025 Jul;118(1):206-217. doi: 10.1002/cpt.3679. Epub 2025 Apr 15.

Abstract

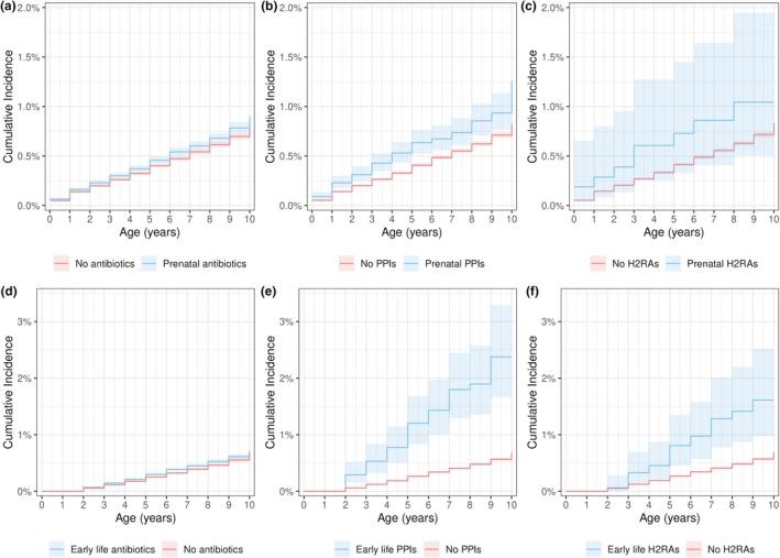
Over 10 million children in the world have epilepsy, with an unknown cause in half of the cases. The gut microbiome has been associated with various neurological disorders, and certain drugs greatly disturb the microbiome. Our aim was to study the association of prenatal and childhood exposure (before the age of two) to antibiotics, proton pump inhibitors (PPIs) and histamine-2 receptor antagonists, and the risk of childhood epilepsy. Using population-based registers, we included all live singleton births in Sweden from 2006 to 2017. Exposure was considered prescription(s) to antibiotics, proton pump inhibitors, or H2-receptor antagonists (separately). Multivariable Cox regression was used to calculate hazard ratios and 95% confidence intervals. 708,903 mother-child dyads were included, and 0.5% of children had an epilepsy diagnosis. Average follow-up was 3.8 years (IQR 1-6). Prenatal exposure to antibiotics (aHR 1.09, 95% CI 1.01-1.18) and PPIs (aHR 1.38, 95% CI 1.17-1.65) were associated with an increased risk of epilepsy. Exposure to antibiotics (1.11, 95% CI 1.02-1.21), PPIs (3.40, 95% CI 2.47-4.68) and H2RAs (1.65, 95% CI 1.03-2.64) before the age of two was associated with an increased risk of epilepsy after the age of two. Dose response analysis showed that one prescription of antibiotics in pregnancy or early life was not associated with an increased risk of epilepsy, while one prescription of PPIs in pregnancy or early life had an association. To conclude, our results support the hypothesis that microbiome modulating drugs are associated with an increased risk of epilepsy. This needs to be further validated in other studies, ideally including indications for drug use.

摘要

全球有超过1000万儿童患有癫痫,其中半数病例病因不明。肠道微生物群与多种神经系统疾病有关,某些药物会极大地扰乱微生物群。我们的目的是研究产前和儿童期(两岁之前)接触抗生素、质子泵抑制剂(PPI)和组胺-2受体拮抗剂与儿童癫痫风险之间的关联。利用基于人群的登记数据,我们纳入了2006年至2017年瑞典所有单胎活产儿。接触情况被视为开具抗生素、质子泵抑制剂或H2受体拮抗剂(分别计算)的处方。采用多变量Cox回归计算风险比和95%置信区间。共纳入708,903对母婴,0.5%的儿童被诊断患有癫痫。平均随访时间为3.8年(四分位间距1 - 6年)。产前接触抗生素(调整后风险比1.09,95%置信区间1.01 - 1.18)和质子泵抑制剂(调整后风险比1.38,95%置信区间1.17 - 1.65)与癫痫风险增加有关。两岁之前接触抗生素(1.11,95%置信区间1.02 - 1.21)、质子泵抑制剂(3.40,95%置信区间2.47 - 4.68)和H2受体拮抗剂(1.65,95%置信区间1.03 - 2.64)与两岁之后癫痫风险增加有关。剂量反应分析表明,孕期或生命早期开具一剂抗生素与癫痫风险增加无关,而孕期或生命早期开具一剂质子泵抑制剂则有关联。总之,我们的结果支持微生物群调节药物与癫痫风险增加有关这一假说。这需要在其他研究中进一步验证,理想情况下应包括药物使用指征。

https://cdn.ncbi.nlm.nih.gov/pmc/blobs/44bd/12166261/3ad04fbd03c1/CPT-118-206-g002.jpg

文献AI研究员

20分钟写一篇综述,助力文献阅读效率提升50倍。

立即体验

用中文搜PubMed

大模型驱动的PubMed中文搜索引擎

马上搜索

文档翻译

学术文献翻译模型,支持多种主流文档格式。

立即体验